Exos sur les suites
-
Matteo
Exos sur les suites
Bonjour je dois étudier les sens de variation de ses suites. J'ai essayé mais je n'arrive pas à soustraire Un+1 - Un
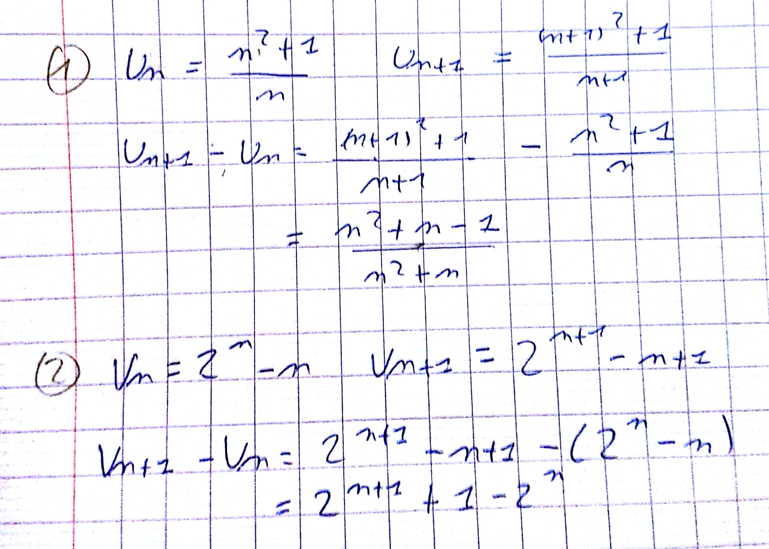
\(U_{n}=\frac{n^2+1}{n}\)
et
\(U_{n}=2^n-n\) avec n >= 0
Quelqu'un pourrait-il m'aider ?
\(U_{n}=\frac{n^2+1}{n}\)
et
\(U_{n}=2^n-n\) avec n >= 0
Quelqu'un pourrait-il m'aider ?
-
sos-math(27)
- Messages : 1427
- Enregistré le : ven. 20 juin 2014 15:58
Re: Exos sur les suites
Bonjour Mattéo,
Avec les suites, une bonne stratégie consiste à calculer les trois ou quatre premiers termes pour voir ce qui se passe.
Ensuite il faudra calculer \(u_{n+1}-u_n\) et déterminer si cette différence est positive ou négative pour tout \(n\)
Comment écris-tu \(u_{n+1}\)pour la première suite ? et pour la deuxième ?
(tu peux faire une photo de ton travail et la partager si tu n'arrive pas à tout entrer dans l'éditeur)
à bientôt
PS : voici un lien vers une page qui pourra t'aider je l'espère
http://www.jaicompris.com/lycee/math/su ... iation.php
Avec les suites, une bonne stratégie consiste à calculer les trois ou quatre premiers termes pour voir ce qui se passe.
Ensuite il faudra calculer \(u_{n+1}-u_n\) et déterminer si cette différence est positive ou négative pour tout \(n\)
Comment écris-tu \(u_{n+1}\)pour la première suite ? et pour la deuxième ?
(tu peux faire une photo de ton travail et la partager si tu n'arrive pas à tout entrer dans l'éditeur)
à bientôt
PS : voici un lien vers une page qui pourra t'aider je l'espère
http://www.jaicompris.com/lycee/math/su ... iation.php
-
Mattèo
-
sos-math(27)
- Messages : 1427
- Enregistré le : ven. 20 juin 2014 15:58
Re: Exos sur les suites
L'écriture de \(u_{n+1}\) est correcte dans le premier cas , mais dans le second, tu as oublié des parenthèses ( \(2^{n+1}-(n+1)\))
Tu as calculé bien vite, attention car écrire les étapes permet d'éviter les erreurs (règle d'or !)
Ensuite, il faut chercher à expliquer le signe de chacune des expressions obtenue : on travaille avec \(n\) un entier naturel, donc \(n\) est positif !
pour la première expression raisonne sur le numérateur et dénominateur
pour la seconde, une petite factorisation partielle devrait te permettre de conclure.
à bientôt
Tu as calculé bien vite, attention car écrire les étapes permet d'éviter les erreurs (règle d'or !)
Ensuite, il faut chercher à expliquer le signe de chacune des expressions obtenue : on travaille avec \(n\) un entier naturel, donc \(n\) est positif !
pour la première expression raisonne sur le numérateur et dénominateur
pour la seconde, une petite factorisation partielle devrait te permettre de conclure.
à bientôt
