factorisation
-
Marie
factorisation
Bonjour, Je voudrais m'entraîner à factoriser et je n'arrive même pas commencer les calculs car je ne comprends pas. Pouvez-vous m'aider s'il vous plait pour le a) pour commencer ?
merci
merci
-
SoS-Math(25)
- Messages : 1867
- Enregistré le : mer. 2 nov. 2011 09:39
Re: factorisation
Bonjour Marie,
L'idée est de calculer les racines des fonctions du second degré en jeu.
En général :
Si une expression du second degré \(ax^2 + bx+c\) admet deux racines \(x_1\) et \(x_2\) alors cette expression peut s'écrire sous la forme factorisée :
\(a(x-x_1)(x-x_2)\).
N'hésite pas à développer les formes factorisées que tu obtiens pour vérifier.
Bon courage !
L'idée est de calculer les racines des fonctions du second degré en jeu.
En général :
Si une expression du second degré \(ax^2 + bx+c\) admet deux racines \(x_1\) et \(x_2\) alors cette expression peut s'écrire sous la forme factorisée :
\(a(x-x_1)(x-x_2)\).
N'hésite pas à développer les formes factorisées que tu obtiens pour vérifier.
Bon courage !
-
Marie
Re: factorisation
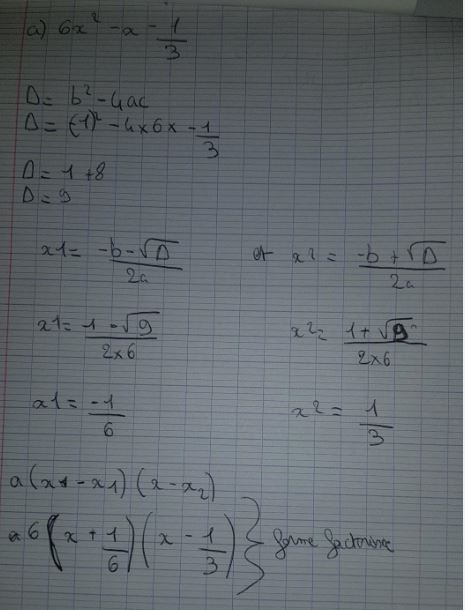
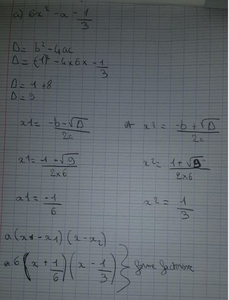
Merci beaucoup de m'avoir répondu aussi rapidement. J'ai fait l'exercice a). Est-ce que j'ai bien compris?Est-il juste?
Pour le b), je ne connais pas la formule à appliquer lorsque delta = 0
Pour le b), je ne connais pas la formule à appliquer lorsque delta = 0
-
SoS-Math(9)
- Messages : 6351
- Enregistré le : mer. 5 sept. 2007 12:10
Re: factorisation
Bonjour Marie,
Lorsque le discriminant est nul, on a la même factorisation que lorsqu'il est positif … mais avec x1 = x2 (on parle d'ailleurs de racine double).
Donc tu auras a(x-x1)² comme factorisation.
SoSMath.
Lorsque le discriminant est nul, on a la même factorisation que lorsqu'il est positif … mais avec x1 = x2 (on parle d'ailleurs de racine double).
Donc tu auras a(x-x1)² comme factorisation.
SoSMath.
-
Marie
Re: factorisation
j'ai pu faire le a) et le b)
Pouvez-vous vérifier si j'ai bien appliqué la formule et pas fait d'erreur s'il vous plait ?
Encore merci
Pouvez-vous vérifier si j'ai bien appliqué la formule et pas fait d'erreur s'il vous plait ?
Encore merci
-
SoS-Math(33)
- Messages : 3588
- Enregistré le : ven. 25 nov. 2016 14:24
Re: factorisation
Bonjour,
ce que tu as fait est correct.
Juste une remarque, au lieu d'écrire \(1\sqrt{3}\) tu peux écrire \(\sqrt{3}\)
SoS-math
ce que tu as fait est correct.
Juste une remarque, au lieu d'écrire \(1\sqrt{3}\) tu peux écrire \(\sqrt{3}\)
SoS-math
-
Marie
Re: factorisation
Merci
