Probabilité
-
Thomas
Re: Probabilité
Bonjour,
J'ai suivi vos instructions, mais je trouve un résultat plus qu'étrange.
Ma probabilité est négative et de surcroît supérieur à 1, ce qui est impossible.
D'où vient mon erreur.
Merci d'avance pour vos nouvelles explications.
J'ai suivi vos instructions, mais je trouve un résultat plus qu'étrange.
Ma probabilité est négative et de surcroît supérieur à 1, ce qui est impossible.
D'où vient mon erreur.
Merci d'avance pour vos nouvelles explications.
-
SoS-Math(31)
- Messages : 1360
- Enregistré le : lun. 12 oct. 2015 10:33
Re: Probabilité
Bonjour Thomas
L'erreur vient du fait que l'évenement contraire de \(\overline{L}\bigcap\overline{D}\) n'est pas L \(\bigcap\) D.
Voir pièce jointe
L'erreur vient du fait que l'évenement contraire de \(\overline{L}\bigcap\overline{D}\) n'est pas L \(\bigcap\) D.
Voir pièce jointe
-
SoS-Math(31)
- Messages : 1360
- Enregistré le : lun. 12 oct. 2015 10:33
Re: Probabilité
Voici la pièce jointe qui j'espère t'aidera à comprendre ton erreur.
- Fichiers joints
-
numérisation0011.pdf- (227.64 Kio) Téléchargé 1136 fois
-
SoS-Math(31)
- Messages : 1360
- Enregistré le : lun. 12 oct. 2015 10:33
Re: Probabilité
Remarque : P(D) = P(L \(\bigcap\) D) + P (\(\overline{L}\bigcap\) D)
-
Thomas
Re: Probabilité
Je trouvais cela un peu trop facile ...
Je comprends votre schéma mais je n'arrive pas à l'appliquer. Voici ce que j'ai commencé, sans succès ...
Je comprends votre schéma mais je n'arrive pas à l'appliquer. Voici ce que j'ai commencé, sans succès ...
-
SoS-Math(31)
- Messages : 1360
- Enregistré le : lun. 12 oct. 2015 10:33
Re: Probabilité
Tu mélanges les intersections et les réunions.
De plus tu as fais une erreur dans la dernière égalité, c'est une addition et non une multiplication
P(\([tex]\)\overline{L}\bigcup \overline{D} = P(\overline{L})+P(\overline{D})-P(\overline{L}\bigcap \overline{D})[/tex]
De plus tu as fais une erreur dans la dernière égalité, c'est une addition et non une multiplication
P(\([tex]\)\overline{L}\bigcup \overline{D} = P(\overline{L})+P(\overline{D})-P(\overline{L}\bigcap \overline{D})[/tex]
-
SoS-Math(31)
- Messages : 1360
- Enregistré le : lun. 12 oct. 2015 10:33
Re: Probabilité
Tu mélanges les intersections et les réunions.
De plus tu as fais une erreur dans la dernière égalité, c'est une addition et non une multiplication
\(P(\overline{L}\bigcup \overline{D})= P(\overline{L}) + P(\overline{D}) - P(\overline{L}\bigcap \overline{D})\)
De plus tu as fais une erreur dans la dernière égalité, c'est une addition et non une multiplication
\(P(\overline{L}\bigcup \overline{D})= P(\overline{L}) + P(\overline{D}) - P(\overline{L}\bigcap \overline{D})\)
-
Thomas
Re: Probabilité
Bonjour,
Je ne vois que des mot dans vos formules, c'est assez étrange.
Pouvez-vous la réécrire ?
Merci d'avance.
Je ne vois que des mot dans vos formules, c'est assez étrange.
Pouvez-vous la réécrire ?
Merci d'avance.
-
Thomas
Re: Probabilité
J'ai tenu compte de vos informations mais je trouve encore une profitabilité pour D qui est négative.
Voici ce que j'ai fait
Voici ce que j'ai fait
-
SoS-Math(31)
- Messages : 1360
- Enregistré le : lun. 12 oct. 2015 10:33
Re: Probabilité
Le début est bon. La dernière ligne est fausse.
P(\(\overline{D}) - 0,03 P(\overline{D})= (1 - 0,03) P(\overline{D})= 0,97 P(\overline{D})\) donc égale à 0,09
P(\(\overline{D}) - 0,03 P(\overline{D})= (1 - 0,03) P(\overline{D})= 0,97 P(\overline{D})\) donc égale à 0,09
-
Thomas
Re: Probabilité
Il faut donc trouver cela (P(D) =0,91) ?
Merci pour vos explications.
A bientôt !
Merci pour vos explications.
A bientôt !
-
SoS-Math(31)
- Messages : 1360
- Enregistré le : lun. 12 oct. 2015 10:33
Re: Probabilité
Oui, c'est bien Thomas.
A bientôt sur le forum.
A bientôt sur le forum.
-
Thomas
Re: Probabilité
Bonsoir,
Je fais un nouvel exercice sur les probabilités, et je n'arrive pas à faire la dernière question.
Voici l'exercice.
Faut-il faire 0,4 * 15 ?
Merci d'avance de votre réponse.
Je fais un nouvel exercice sur les probabilités, et je n'arrive pas à faire la dernière question.
Voici l'exercice.
Faut-il faire 0,4 * 15 ?
Merci d'avance de votre réponse.
-
SoS-Math(34)
- Messages : 599
- Enregistré le : ven. 17 nov. 2017 09:31
Re: Probabilité
Bonsoir,
Pour la loi Binomiale de paramètres n et p, l'espérance est np, elle correspond à la moyenne qu'on peut "espérer" lorsqu'on répète plusieurs fois la même expérience, donc ton calcul est correct.
Sosmaths
Pour la loi Binomiale de paramètres n et p, l'espérance est np, elle correspond à la moyenne qu'on peut "espérer" lorsqu'on répète plusieurs fois la même expérience, donc ton calcul est correct.
Sosmaths
-
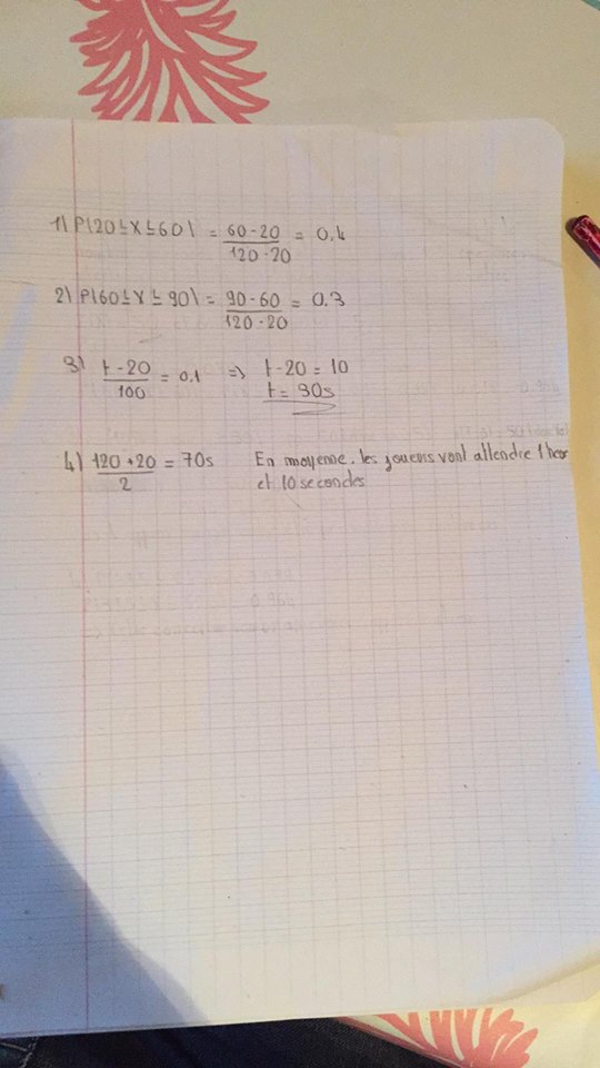
Thomas
Re: Probabilité
Bonsoir,
Je fais un dernier exercice sur la loi uniforme,et j'ai un petit doute sur ce que j'ai fait à la question 3.
Pouvez vous me confirmer ma réponse ?
Merci d'avance.
A bientôt !
Je fais un dernier exercice sur la loi uniforme,et j'ai un petit doute sur ce que j'ai fait à la question 3.
Pouvez vous me confirmer ma réponse ?
Merci d'avance.
A bientôt !
