fonctions et triangles

Retrouver tous les sujets résolus.
SoS-Math(33)
Messages : 3588
Enregistré le : ven. 25 nov. 2016 14:24

Re: fonctions et triangles

Message par SoS-Math(33) » dim. 2 avr. 2017 11:58

Tu devrais faire avec un tableur en modifiant le pas à chaque étapes pour faire ton encadrement.
tom

Re: fonctions et triangles

Message par tom » dim. 2 avr. 2017 12:21

c'est ce que je fais mais je comprends pas mon erreur
SoS-Math(33)
Messages : 3588
Enregistré le : ven. 25 nov. 2016 14:24

Re: fonctions et triangles

Message par SoS-Math(33) » dim. 2 avr. 2017 12:32

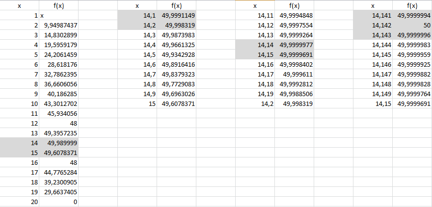
Voici ce que tu dois avoir comme résultats avec le tableur:
Sans titre 2.png
Répondre