Dm de math sur les inéquations

Retrouver tous les sujets résolus.
Verrouillé
Invité

Dm de math sur les inéquations

Message par Invité » dim. 15 mars 2009 15:44

Bonjour,

J'ai un devoir de math à faire pour la semaine prochaine, sauf qu'il y a quelques exercices dont je ne suis pas sure que ce que j'ai fait soit bon notamment pour les exercices avec les inéquations.

J'ai scanner les exercices et ce que j'ai fait, merci de me corriger si j'ai faux.
Aurélie.
Fichiers joints
jkcl.jpg
hglhjkl.jpg
hglhjkl.jpg (11.21 Kio) Vu 4432 fois
ghioi.jpg
sos-math(13)
Messages : 1553
Enregistré le : mer. 11 mars 2009 15:32

Re: Dm de math sur les inéquations

Message par sos-math(13) » dim. 15 mars 2009 16:46

Bonjour Aurélie,

l'exercice 41 est correct.

En revanche pour les deux autres, ce que tu as fait n'apparaît pas dans ton message.
Peux-tu le compléter ?

A bientôt.
Invité

Re: Dm de math sur les inéquations

Message par Invité » dim. 15 mars 2009 21:00

Oui désolé mais je ne pouvais pas mettre plus de 3 fichier joint.
Voici les autres :
Fichiers joints
img010.jpg
img009.jpg
SoS-Math(7)
Messages : 4004
Enregistré le : mer. 5 sept. 2007 12:04

Re: Dm de math sur les inéquations

Message par SoS-Math(7) » dim. 15 mars 2009 21:13

Bonsoir Aurélie,

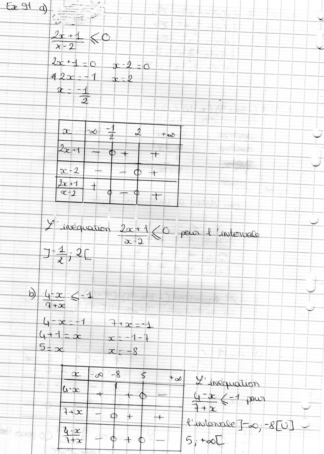
Exercice 91
a) c'est quasiment juste, vous avez juste oublié de noter dans le tableau de signes que (-2) est une valeur interdite.
b) votre travail est à reprendre. Écrivez votre inéquation de sorte que le second membre soit 0.

Exercice 82
Votre travail est juste à un bémol près, dans le tableau de signes du b) n'apparait pas la valeur interdite.

Bon courage
SOS Math
Invité

Re: Dm de math sur les inéquations

Message par Invité » mar. 17 mars 2009 19:35

Bonsoir,

Merci de m'avoir corrigé pour les valeurs interdites que j'avais oubliée.
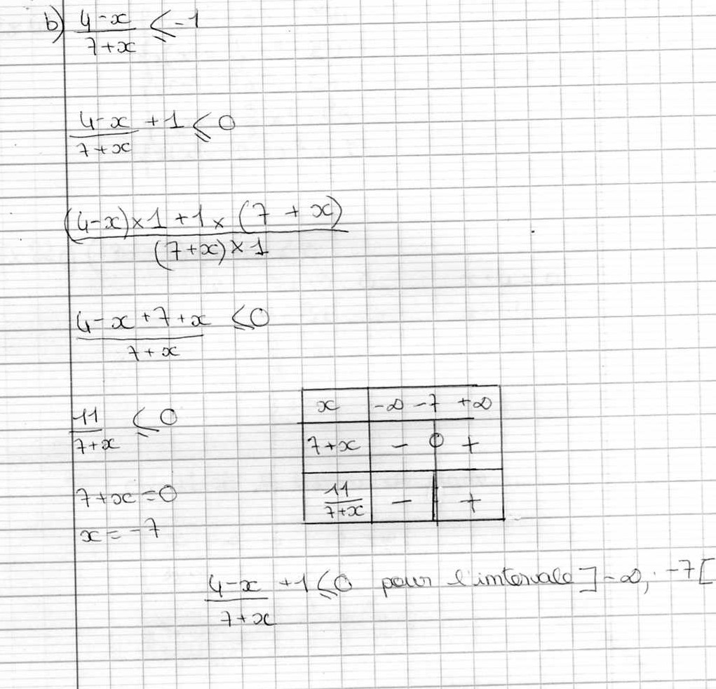
Autrement, pour le b) du 91, je l'ai recommencé.

Merci de me corriger si j'ai faux.
Aurélie.
Fichiers joints
Voila ce que j'ai trouvé, même si il n'y a pas tout.
Voila ce que j'ai trouvé, même si il n'y a pas tout.
Si non, il a un autre exercice que j'avais faire mais que je trouve assez compliqué.<br />J'ai réussi a faire quelque trucs mais il y en a d'autre que je n'ai pas encore réussi.
Si non, il a un autre exercice que j'avais faire mais que je trouve assez compliqué.
J'ai réussi a faire quelque trucs mais il y en a d'autre que je n'ai pas encore réussi.
img011.jpg
sos-math(13)
Messages : 1553
Enregistré le : mer. 11 mars 2009 15:32

Re: Dm de math sur les inéquations

Message par sos-math(13) » mar. 17 mars 2009 21:22

Bonsoir,

L'exercice 23 est faux, mais ce n'est pas de ta faute...

Si la carte est au 70e, comme c'est indiqué, cela signifie qu'un centimètre sur la carte représente 70 cm sur le terrain.
1ère remarque : "on mesure sur la carte" mais on ne nous dit pas dans quelle unité.
2ème remarque : si l'unité sur la carte est le cm, en multipliant par 70, tu obtiens des cm sur le terrain.

Que je sache, Paris et Guéret sont distants d'un peu plus que ça !!!

La carte est sûrement au 7 000 000e, donc 1 cm vaut 7 000 000 cm, soit 70 km. Les distances annoncées sont alors plausibles.

Bon courage pour la suite.

C'est très bien pour la résolution de ton inéquation.

A bientôt.
Invité

Re: Dm de math sur les inéquations

Message par Invité » mer. 18 mars 2009 16:55

Bonjour,

Merci de la précision pour l'unité du 70e utilisé dans l'énoncé.
Je pense avoir réussi l'intégralité de l'exercice à l'aide de surveillants dans mon lycée, j'aimerais juste savoir si ce que j'ai fait est bon.

Merci beaucoup de votre aide,
Aurélie.
Fichiers joints
Et voila mes réponses, désolée pour les ratures.
Et voila mes réponses, désolée pour les ratures.
Donc là c'est la 6ième partie de l'exercice 23, que je n'avait pas pu vous donner car elle était sur l'autre page de mon livre.
Donc là c'est la 6ième partie de l'exercice 23, que je n'avait pas pu vous donner car elle était sur l'autre page de mon livre.
Donc voila la deuxième partie de l'exercice, la suite de ce dont je vous avait déjà envoyé.
Donc voila la deuxième partie de l'exercice, la suite de ce dont je vous avait déjà envoyé.
sos-math(12)
Messages : 476
Enregistré le : mer. 11 mars 2009 15:32

Re: Dm de math sur les inéquations

Message par sos-math(12) » mer. 18 mars 2009 19:34

Bonjour Aurélie.

Ta démarche est correcte et tes résultats, vu la précision de ton graphique, le sont aussi.

Pour des résultats graphiques plus précis il faudrait travailler sur une représentation graphique elle aussi plus précise.

Sans compter que vu tes réponses précédentes, à la question 5 notamment, tu es parfaitement capable de déterminer les valeurs exactes en résolvant certaines équations.

A bientôt.
Verrouillé