Intégrale exercice
-
Salah TS
Intégrale exercice
Bonsoir ,
Je fais appelle a vous car j'ai de grande difficulté sur cette exo sachant que nous avons commencez les intégrales seulement vendredi en cours je me permet de vous sollciter afin d'obtenir de l'aide ,voici l'énoncer en piece jointes ainsi que le début de mon exo que j'ai décider de scanner par soucis de clarter .
Merci d'avance je vous souhait une bonne soirée ,
Cordialement
Salah
Je fais appelle a vous car j'ai de grande difficulté sur cette exo sachant que nous avons commencez les intégrales seulement vendredi en cours je me permet de vous sollciter afin d'obtenir de l'aide ,voici l'énoncer en piece jointes ainsi que le début de mon exo que j'ai décider de scanner par soucis de clarter .
Merci d'avance je vous souhait une bonne soirée ,
Cordialement
Salah
-
sos-math(21)
- Messages : 10401
- Enregistré le : lun. 30 août 2010 11:15
Re: Intégrale exercice
Bonsoir,
Pour la croissance de la suite \((I_n)\), il faudrait que tu établisses que pour tout entier n, on a \(\frac{1}{1+t^n}\leq \frac{1}{1+t^{n+1}}\leq 1\)
Ensuite, en passant aux intégrales dans cette inégalité, on garde le même sens de l'intégrale (on dit que l'intégrale est une opération croissante), on aurait
\(\int_{0}^{1}\frac{1}{1+t^n}dt\leq \int_{0}^{1}\frac{1}{1+t^{n+1}}dt\leq \int_{0}^{1} 1dt\), ce qui prouverait que \(I_n\leq I_{n+1}\leq 1\) ce qui montrerait en même temps que la suite \((I_n)\) est croissante et majorée par 1.
de plus, on en déduit que la suite est .... (croissante+majorée donne ...).
Établis déjà cela.
Pour la croissance de la suite \((I_n)\), il faudrait que tu établisses que pour tout entier n, on a \(\frac{1}{1+t^n}\leq \frac{1}{1+t^{n+1}}\leq 1\)
Ensuite, en passant aux intégrales dans cette inégalité, on garde le même sens de l'intégrale (on dit que l'intégrale est une opération croissante), on aurait
\(\int_{0}^{1}\frac{1}{1+t^n}dt\leq \int_{0}^{1}\frac{1}{1+t^{n+1}}dt\leq \int_{0}^{1} 1dt\), ce qui prouverait que \(I_n\leq I_{n+1}\leq 1\) ce qui montrerait en même temps que la suite \((I_n)\) est croissante et majorée par 1.
de plus, on en déduit que la suite est .... (croissante+majorée donne ...).
Établis déjà cela.
-
Salah TS
Re: Intégrale exercice
Bonjour et merci de votre réponse
Donc je dois faire une récurrence pour la question 1b ?
Donc je dois faire une récurrence pour la question 1b ?
-
sos-math(21)
- Messages : 10401
- Enregistré le : lun. 30 août 2010 11:15
Re: Intégrale exercice
Bonjour,
Je te signale juste que mon précédent message est LA réponse à la question 1b, donc si tu fais ce que je te dis, tu auras prouvé la croissance et la majoration directement donc une récurrence n'est pas nécessaire ici.
Bon courage pour la suite.
Je te signale juste que mon précédent message est LA réponse à la question 1b, donc si tu fais ce que je te dis, tu auras prouvé la croissance et la majoration directement donc une récurrence n'est pas nécessaire ici.
Bon courage pour la suite.
-
Salah TS
Re: Intégrale exercice
Merci votre réponse je sais pas comment établir ,si vous pouviez m'éclaicir,ça serait gentil.
-
sos-math(21)
- Messages : 10401
- Enregistré le : lun. 30 août 2010 11:15
Re: Intégrale exercice
Il faut partir d'une égalité évidente :
\(0\leq t\leq 1\), ensuite on multiplie par \(t^n\) qui est un nombre positif donc l'ordre est conservé :
\(0\leq t^{n+1}\leq t^{n}\)
ensuite on ajoute 1 à cet encadrement :
\(1\leq 1+t^{n+1}\leq 1+t^{n}\).
Il faut ensuite passer à l'inverse, on sait que la fonction inverse est décroissante donc cela va changer le sens de l'inégalité ; on aura donc
\(\frac{1}{1+t^{n}}\leq \frac{1}{1+t^{n+1}}\leq 1\)
Il reste ensuite à intégrer entre 0 et 1, l'intégrale étant une opération croissante (déjà dit), on aura ....
Je te laisse terminer, j'en ai assez dit.
\(0\leq t\leq 1\), ensuite on multiplie par \(t^n\) qui est un nombre positif donc l'ordre est conservé :
\(0\leq t^{n+1}\leq t^{n}\)
ensuite on ajoute 1 à cet encadrement :
\(1\leq 1+t^{n+1}\leq 1+t^{n}\).
Il faut ensuite passer à l'inverse, on sait que la fonction inverse est décroissante donc cela va changer le sens de l'inégalité ; on aura donc
\(\frac{1}{1+t^{n}}\leq \frac{1}{1+t^{n+1}}\leq 1\)
Il reste ensuite à intégrer entre 0 et 1, l'intégrale étant une opération croissante (déjà dit), on aura ....
Je te laisse terminer, j'en ai assez dit.
-
Salah TS
Re: Intégrale exercice
Merci j'ai compris il faut proceder par étape merci beaucoups
-
sos-math(21)
- Messages : 10401
- Enregistré le : lun. 30 août 2010 11:15
Re: Intégrale exercice
Bon courage pour la suite.
-
Salah TS
Re: Intégrale exercice
Pouvez vous m'aidez pour la 3)a S'il vous plait ?
-
sos-math(21)
- Messages : 10401
- Enregistré le : lun. 30 août 2010 11:15
Re: Intégrale exercice
Pour justifier que c'est dérivable, il faut se ramener aux fonctions de référence en disant que \(F_n\) est composée de fonctions dérivables...
Je te laisse trouver lesquelles.
Pour le calcul, tu connais tes formules de dérivation, il faut y aller...
Je te laisse trouver lesquelles.
Pour le calcul, tu connais tes formules de dérivation, il faut y aller...
-
Salah TS
Re: Intégrale exercice
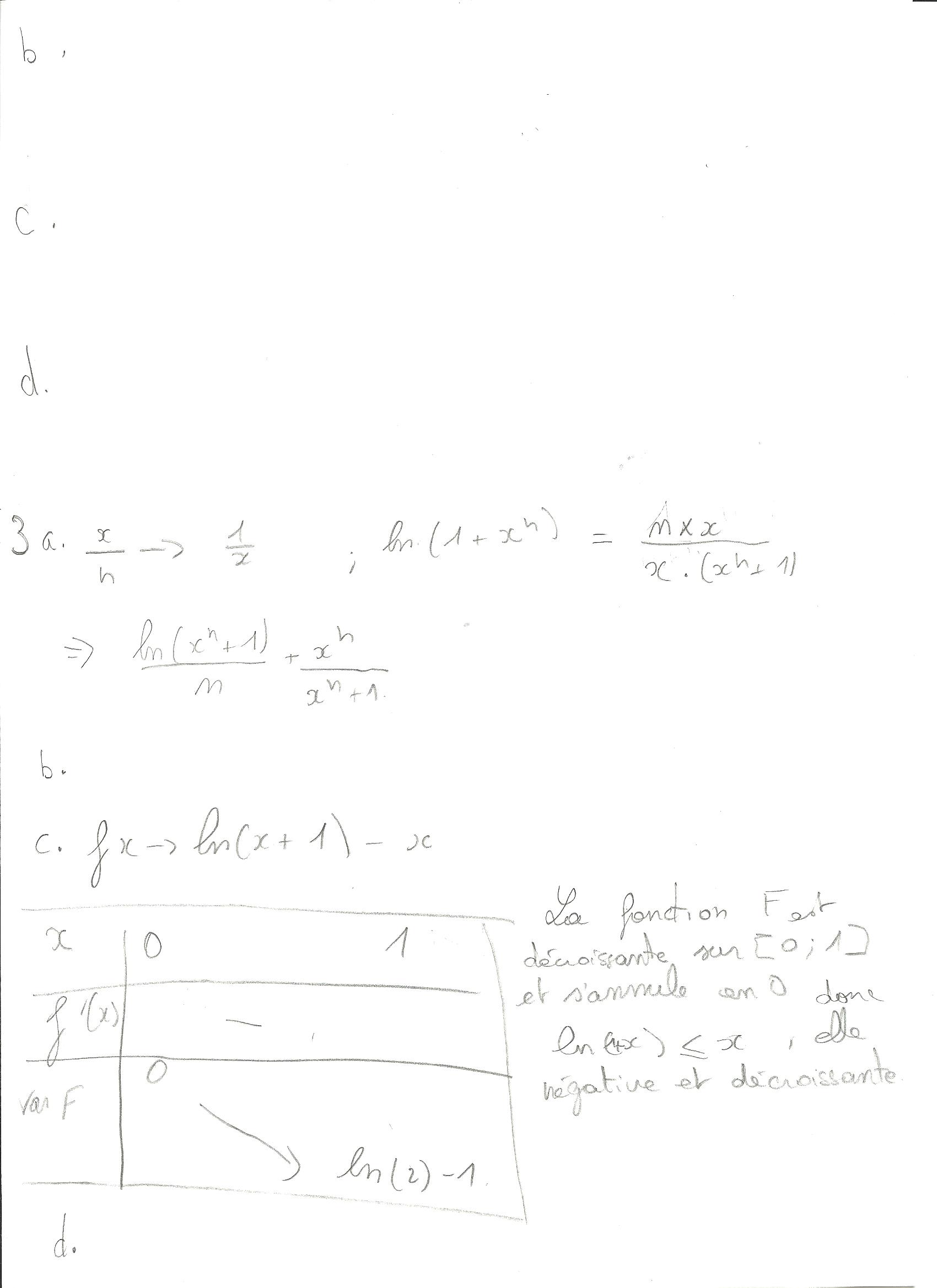
C'est un produit de fonction qui sont elles meme dérivable la fonction ln est dérivable sur [0;1] tant comme x/n
et j'utilise u'v+uv' et je trouve xn^n-1/1+x^n
Pouvez vous m'aider pour la b) ?
et j'utilise u'v+uv' et je trouve xn^n-1/1+x^n
Pouvez vous m'aider pour la b) ?
-
Salah TS
Re: Intégrale exercice
La fonction Fn est dérivable sur [0;1] car c'est un produit de fonction elles memes dérivable .La fonction ln est dérivable sur [0;1] tout comme x/n j'utilise uxv=u'v+uv' et je trouve xn^n-1/1+x^n
Pouvez vous m'aidez pour la 3)B
Pouvez vous m'aidez pour la 3)B
-
SoS-Math(9)
- Messages : 6351
- Enregistré le : mer. 5 sept. 2007 12:10
Re: Intégrale exercice
Bonsoir Salah,
Ta dérivée est fausse !
\(F_n(x) = u v\)
avec \(u = \frac{x}{n}\) et \(v = ln(1 + x^n)\)
Peux-tu me donner u' et v', pour que je puisse comprendre ton erreur ?
SoSMath.
Ta dérivée est fausse !
\(F_n(x) = u v\)
avec \(u = \frac{x}{n}\) et \(v = ln(1 + x^n)\)
Peux-tu me donner u' et v', pour que je puisse comprendre ton erreur ?
SoSMath.
-
Salah TS
Re: Intégrale exercice
Bonsoir biensur
u'=1/n
v'=u'/u
u'=1/n
v'=u'/u
-
SoS-Math(9)
- Messages : 6351
- Enregistré le : mer. 5 sept. 2007 12:10
Re: Intégrale exercice
Salah,
oui pour u'.
Mais lorsque tu écris v'=u'/u c'est quoi u ?
SoSMath.
oui pour u'.
Mais lorsque tu écris v'=u'/u c'est quoi u ?
SoSMath.
