intégrale
intégrale
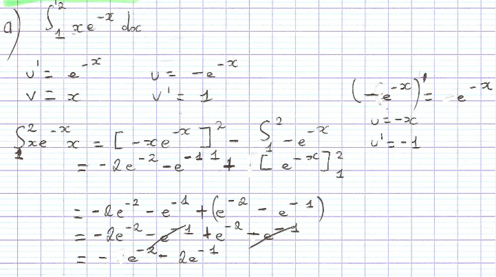
Bonjour, je sais que j'ai faux dans la a) (ma calculatrice me le dit) mais j'ai beau retourner dans tous les sens mon calcul je ne vois pas ou?
-
sos-math(13)
- Messages : 1553
- Enregistré le : mer. 11 mars 2009 15:32
Re: intégrale
Bonjour,
il y a deux erreurs de signes dans ta deuxième ligne de calcul :
[f(x)] entre a et b donne f(b)-f(a), donc [-f(x)] entre a et b donne -f(b)--f(a) c'est à dire -f(b)+f(a) d'une part.
D'autre part, il est préférable de garder -exp(-x) sous ton intégrale, car tu en connais une primitive simple.
Or tu as simplifié les signes, pour te retrouver avec exp(-x) sous l'intégrale, dont tu connais aussi une primitive, mais qui est un peu moins simple.
Bon courage.
il y a deux erreurs de signes dans ta deuxième ligne de calcul :
[f(x)] entre a et b donne f(b)-f(a), donc [-f(x)] entre a et b donne -f(b)--f(a) c'est à dire -f(b)+f(a) d'une part.
D'autre part, il est préférable de garder -exp(-x) sous ton intégrale, car tu en connais une primitive simple.
Or tu as simplifié les signes, pour te retrouver avec exp(-x) sous l'intégrale, dont tu connais aussi une primitive, mais qui est un peu moins simple.
Bon courage.
Re: intégrale
merci après correction ça me donne -exp(-2)+2exp(-1) ?
-
sos-math(13)
- Messages : 1553
- Enregistré le : mer. 11 mars 2009 15:32
Re: intégrale
Ce que tu peux comparer au résultat de ta calculatrice.
-
sos-math(13)
- Messages : 1553
- Enregistré le : mer. 11 mars 2009 15:32
Re: intégrale
Pour en avoir une valeur exacte, tu peux utiliser :
http://www.wolframalpha.com/
et taper : int(x*exp(-x),x,1,2)
La forme n'est pas tout à fait celle que tu peux attendre, mais avec les propriétés de la fonction exponentielle, tu dois t'y retrouver.
http://www.wolframalpha.com/
et taper : int(x*exp(-x),x,1,2)
La forme n'est pas tout à fait celle que tu peux attendre, mais avec les propriétés de la fonction exponentielle, tu dois t'y retrouver.
-
sos-math(13)
- Messages : 1553
- Enregistré le : mer. 11 mars 2009 15:32
Re: intégrale
Et à mon avis, l'erreur que tu fais, sur exp(-2) est d'écrire -2exp(-2)-exp(-2)=-exp(-2), ce qui est faux.
Re: intégrale
ah ce n'est pas bon alors car -exp(-2)+2exp(-1)= 0.60 et mon intégrale = 0.32?
Re: intégrale
au secours!
-
sos-math(13)
- Messages : 1553
- Enregistré le : mer. 11 mars 2009 15:32
Re: intégrale
À mon avis tu n'as pas lu mes 3 messages précédents (juste avant le tien), où je t'indique l'erreur que tu commets.
-
sos-math(13)
- Messages : 1553
- Enregistré le : mer. 11 mars 2009 15:32
Re: intégrale
Bon, en fait ton erreur est ailleurs. Elle est sur le signe du deuxième exp(-2)...
Devant la parenthèse, il y a un moins.
Devant la parenthèse, il y a un moins.
Re: intégrale
ah c'est bon merci
-
sos-math(13)
- Messages : 1553
- Enregistré le : mer. 11 mars 2009 15:32
Re: intégrale
à bientôt sur sos-math.
