primitive

Retrouver tous les sujets résolus.
Répondre
Natascha

primitive

Message par Natascha » dim. 4 déc. 2011 16:40

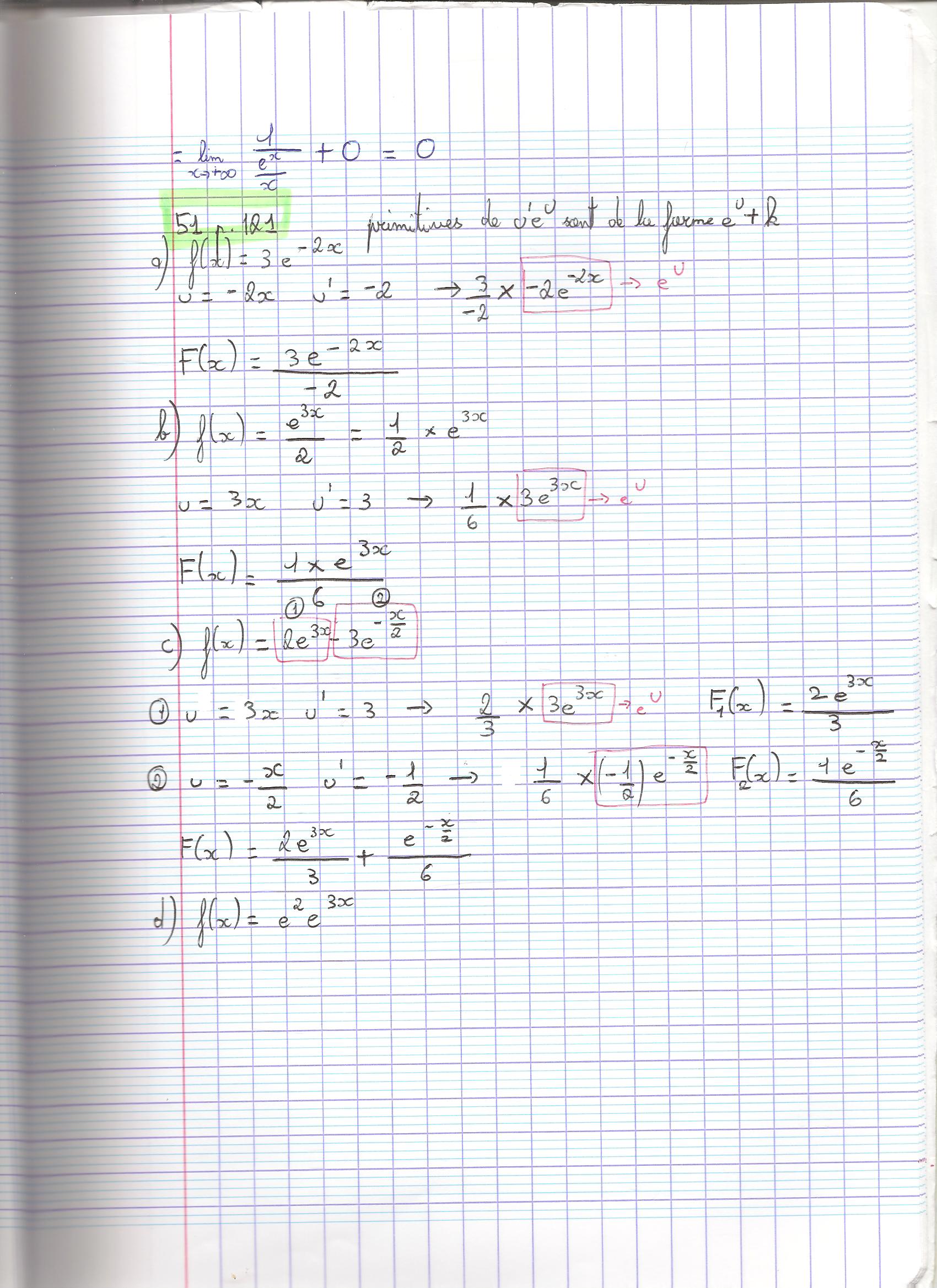
Bonjour, on a fermé mon post mais je voudrais savoir si j'ai bien compris pour la d) on ne peut multiplier les primitives?
Fichiers joints
3.jpg
2011-12-04_154304.png
sos-math(12)
Messages : 476
Enregistré le : mer. 11 mars 2009 15:32

Re: primitive

Message par sos-math(12) » dim. 4 déc. 2011 16:53

Bonjour : Je suppose que la question est : une primitive d'un produit est-elle le produit des primitives.
Tu dois pouvoir formuler la réponse toi même en te demandant si la dérivée d'un produit est le produit des dérivées ......
D'autre part je ne vois pas de produit de fonctions dans \(f(x)=e^2 \times e^{3x}\).
\(e^2\) est une constante.

Bonne continuation
Natascha

Re: primitive

Message par Natascha » dim. 4 déc. 2011 16:55

euh je ne comprend
Natascha

Re: primitive

Message par Natascha » dim. 4 déc. 2011 17:06

est-ce que F(x)=(e²*e^3x)/3 ?
sos-math(12)
Messages : 476
Enregistré le : mer. 11 mars 2009 15:32

Re: primitive

Message par sos-math(12) » dim. 4 déc. 2011 17:10

Bonjour :

Première chose : il faudrait prendre le temps d'analyser ma réponse. 2 minutes me paraissant une durée extrêmement brève.
Deuxième chose : si ta question est : une primitive de \(u\prime \times v\prime\) est-elle \(u \times v\) ? Je maintiens que ton cours te permet de répondre :as-tu \((u \times v)\prime =u\prime \times v\prime\) ?
Troisième chose : il me semble que \(e^2\) est une constante.

Donc prends bien le temps d'analyser ma réponse et si tu as besoin de plus d'explication essaye d'être plus explicite sur ce que tu ne comprends pas.

Bonne continuation.
Natascha

Re: primitive

Message par Natascha » dim. 4 déc. 2011 17:14

ah \((u \times v)\prime =u\prime \times v\)+uv'?
Natascha

Re: primitive

Message par Natascha » dim. 4 déc. 2011 17:50

ah \((u \times v)\prime =u\prime \times v\)+uv'?
sos-math(21)
Messages : 10401
Enregistré le : lun. 30 août 2010 11:15

Re: primitive

Message par sos-math(21) » dim. 4 déc. 2011 19:58

Bonsoir,
effectivement , \((u\times\,v)^{\prime}=u^{\prime}\times\,v+u\times\,v^{\prime}\) pour deux fonctions u et v.
Mais ici tu avais le produit d'une constante \(e^2\) et d'une fonction \(x\mapsto\,e^{3x}\) et dans ce cas c'est la formule de dérivation \((k\times\,u)^{\prime}=k\times\,u^{\prime}\) qu'il faut utiliser à l'envers.
Dans ce cas, ta réponse est correcte.
Répondre