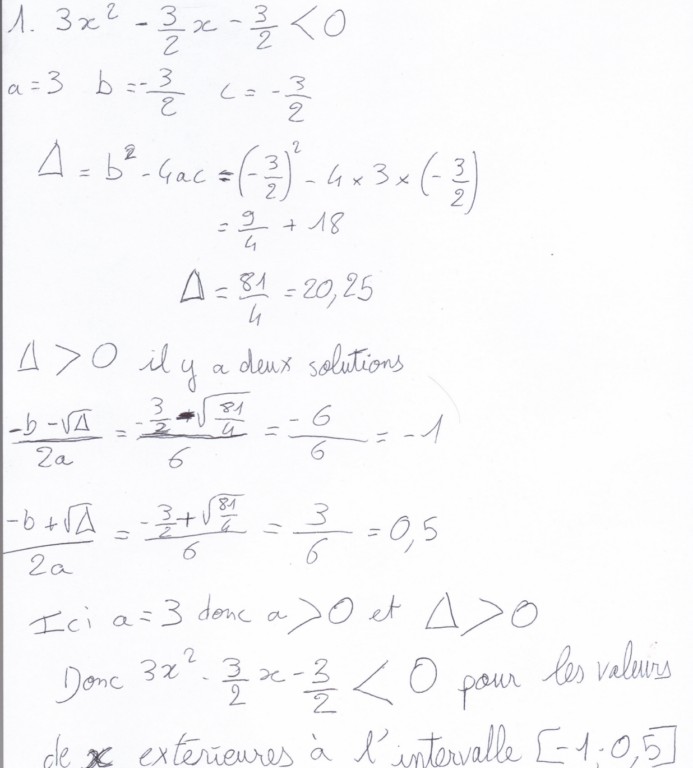
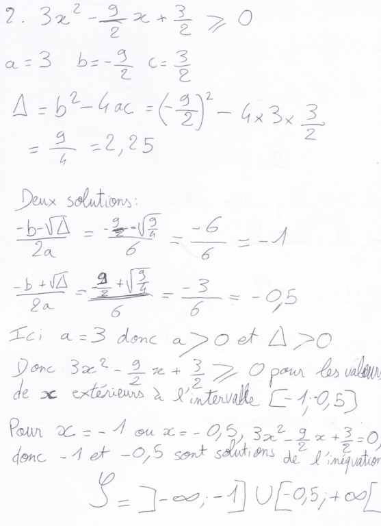
Voici les inéquations. et voici mes calculs, je crois qu'ils sont faux :
Je joins mon 3e calcul sur un autre message, pour le 4e calcul je sèche complétement. Si vous pourriez me donner des pistes vous me seriez d'une grande aide !
Merci d'avance pour votre aide rapide et précieuse
[1ere ES] Inéquations du second degré
-
SoS-Math(2)
- Messages : 2177
- Enregistré le : mer. 5 sept. 2007 12:03
Re: [1ere ES] Inéquations du second degré
Bonjour Stendy,
La démarche est correcte mais dans les deux calculs, les racines sont fausses. En effet si b = -3/2 alors -b = 3/2
Revoyez vos calculs
La démarche est correcte mais dans les deux calculs, les racines sont fausses. En effet si b = -3/2 alors -b = 3/2
Revoyez vos calculs
