Probabilité
-
Hibari-T°S
Probabilité
Bonjour
Je n'arrive pas à résoudre l'exercice 71 (voir fichier joint ) pouvez-vous m'aider dans ma démarche?
Merci d'avance
Cordialement
Je n'arrive pas à résoudre l'exercice 71 (voir fichier joint ) pouvez-vous m'aider dans ma démarche?
Merci d'avance
Cordialement
-
SoS-Math(11)
- Messages : 2881
- Enregistré le : lun. 9 mars 2009 18:20
Re: Probabilité
Bonsoir,
Cet exercice est en effet assez dur.
Tu dois savoir que pour une loi exponentielle de densité \(\lambda{e^{{-\lambda}{x}}}\) on a \(P(X\leq{a}) = 1 - e^{{-\lambda}{a}}\) donc que \(P(X\geq{a}) = e^{{-\lambda}{a}}\).
Tu as donc \(P(X\leq{1000}) = 1 - e^{{-0,0001}\times{1000}}\) et \(P(X\geq{1000}) = e^{{-0,0001}\times{1000}}\) déduis-en la réponse à la question 1a).
Ensuite il faut qu'il y ait au moins un élément qui fonctionne c'est à dire le contraire de "tous en panne", comme les évènements sont indépendants tu as la probabilité de l'intersection qui est le produit de leurs probabilités.
Calcule la probabilité qu'ils soient tous en panne et déduis-en celle qu'il y en ait au moins 1 qui fonctionne encore.
Déduis-en les réponses pour n = 2, n= 3 puis continue pour avoir une probabilité supérieure à 0,9999, n est bien plus petit que 10 !
Pour le montage en série c'est le même type de raisonnement avec la probabilité qu'ils fonctionnent tous les trois après 1000 heures.
Recommence alors avec cette nouvelle probabilité les calculs de la question 1b).
Bon courage pour tous ces calculs.
Cet exercice est en effet assez dur.
Tu dois savoir que pour une loi exponentielle de densité \(\lambda{e^{{-\lambda}{x}}}\) on a \(P(X\leq{a}) = 1 - e^{{-\lambda}{a}}\) donc que \(P(X\geq{a}) = e^{{-\lambda}{a}}\).
Tu as donc \(P(X\leq{1000}) = 1 - e^{{-0,0001}\times{1000}}\) et \(P(X\geq{1000}) = e^{{-0,0001}\times{1000}}\) déduis-en la réponse à la question 1a).
Ensuite il faut qu'il y ait au moins un élément qui fonctionne c'est à dire le contraire de "tous en panne", comme les évènements sont indépendants tu as la probabilité de l'intersection qui est le produit de leurs probabilités.
Calcule la probabilité qu'ils soient tous en panne et déduis-en celle qu'il y en ait au moins 1 qui fonctionne encore.
Déduis-en les réponses pour n = 2, n= 3 puis continue pour avoir une probabilité supérieure à 0,9999, n est bien plus petit que 10 !
Pour le montage en série c'est le même type de raisonnement avec la probabilité qu'ils fonctionnent tous les trois après 1000 heures.
Recommence alors avec cette nouvelle probabilité les calculs de la question 1b).
Bon courage pour tous ces calculs.
-
Hibari-T°S
Re: Probabilité
Bonsoir
Je vous remercie de votre aide je commence à cerner le probléme Merci !!!
Codialement
Je vous remercie de votre aide je commence à cerner le probléme Merci !!!
Ce calcule est-il celui de \(P(X=0)\) ?Calcule la probabilité qu'ils soient tous en panne
Codialement
-
SoS-Math(11)
- Messages : 2881
- Enregistré le : lun. 9 mars 2009 18:20
Re: Probabilité
Bonsoir,
Pourquoi calculer \(P(X=0)\) ?
Il faut calculer \(P(X > 1000)\) qui est égal à \(e^{-0,0001\times1000\) d'après la propriété que je t'ai rappelée dans le premier message.
Bon courage
Pourquoi calculer \(P(X=0)\) ?
Il faut calculer \(P(X > 1000)\) qui est égal à \(e^{-0,0001\times1000\) d'après la propriété que je t'ai rappelée dans le premier message.
Bon courage
-
Hibari-T°S
Re: Probabilité
Bonsoir
Merci de votre aide !!!
Je pensais que "...tous en panne" signifié 0 heure.J'obtient,pour "...au moins un" qui fonctionne, 1-e^(-0.1)
Cordialement
Merci de votre aide !!!
Je pensais que "...tous en panne" signifié 0 heure.J'obtient,pour "...au moins un" qui fonctionne, 1-e^(-0.1)
Cordialement
-
Hibari-T°S
Re: Probabilité
Bonjour
Cordialement
-Pourriez-vous m'expliquer la démarche à faire pour les calculer car je n'arrive pas à me les réprésentés (A quelles paramétres correspondent-ils dans la formule de Loi exponentiel )Déduis-en les réponses pour n = 2, n= 3
Cordialement
-
SoS-Math(11)
- Messages : 2881
- Enregistré le : lun. 9 mars 2009 18:20
Re: Probabilité
Bonjour,
OK pour au moins en panne avant 1000 heures.
Cas ou n = 2, il y a deux éléments en parallèles : l'indépendance des pannes fait que s'il y a 2 éléments : la probabilité que les deux soient en panne avant 1000 heures est la probabilité de l'intersection c'est donc le produit des probabilités, ici c'est \((1-e^{-0.1})\times{(1-e^{-0,1})}\) et donc tu peux en déduire la probabilité qu'il en reste un des deux qui fonctionne.
C'est le même raisonnement pour trois éléments en parallèles, c'est le cas n = 3 et ainsi de suite, n est juste le nombre d'éléments en parallèles.
Bonne continuation
OK pour au moins en panne avant 1000 heures.
Cas ou n = 2, il y a deux éléments en parallèles : l'indépendance des pannes fait que s'il y a 2 éléments : la probabilité que les deux soient en panne avant 1000 heures est la probabilité de l'intersection c'est donc le produit des probabilités, ici c'est \((1-e^{-0.1})\times{(1-e^{-0,1})}\) et donc tu peux en déduire la probabilité qu'il en reste un des deux qui fonctionne.
C'est le même raisonnement pour trois éléments en parallèles, c'est le cas n = 3 et ainsi de suite, n est juste le nombre d'éléments en parallèles.
Bonne continuation
-
Hibari-T°S
Re: Probabilité
Bonjour
Je vous remerci infiniment de votre aide grâce à vous j'ai reussis à terminé l'exercice encore Merci !!!!!!!!!!!!!!!!!!!
J'aimerais revenir sur un point pourriez-vous me définir ce qu'est une fonction de répartition (notion que je n'ai vu que sur annabac et non en "cour" où dans le "livre scolaire" ).
Cordialement
Je vous remerci infiniment de votre aide grâce à vous j'ai reussis à terminé l'exercice encore Merci !!!!!!!!!!!!!!!!!!!
J'aimerais revenir sur un point pourriez-vous me définir ce qu'est une fonction de répartition (notion que je n'ai vu que sur annabac et non en "cour" où dans le "livre scolaire" ).
Cordialement
-
sos-math(21)
- Messages : 10401
- Enregistré le : lun. 30 août 2010 11:15
Re: Probabilité
Bonsoir,
la fonction de répartition F associée à une variable aléatoire réelle X est la fonction définie par :
\(F(x)=P(X\leq\,x)\), elle est caractéristique de la loi de probabilité associée à la variable aléatoire.
la fonction de répartition F associée à une variable aléatoire réelle X est la fonction définie par :
\(F(x)=P(X\leq\,x)\), elle est caractéristique de la loi de probabilité associée à la variable aléatoire.
-
Hibari-T°S
Re: Probabilité
Bonjour
Merci pour vos explications !!!
-Pourriez-vous m'aider à comprendre la différence entre Fonction de densité et Fonction de répartition je commence à m'embrouillé un peu.
Merci d'avance
Cordialement
Merci pour vos explications !!!
-Pourriez-vous m'aider à comprendre la différence entre Fonction de densité et Fonction de répartition je commence à m'embrouillé un peu.
Merci d'avance
Cordialement
-
SoS-Math(9)
- Messages : 6351
- Enregistré le : mer. 5 sept. 2007 12:10
Re: Probabilité
Bonjour Hibari,
La fonction de répartition d'une variable aléatoire est une primitive de la fonction de densité.
SoSMath.
La fonction de répartition d'une variable aléatoire est une primitive de la fonction de densité.
SoSMath.
-
Hibari-T°S
Re: Probabilité
Bonjour
Tout s'explique !!!!!!!!!!!! Grand Merci pour votre explication.
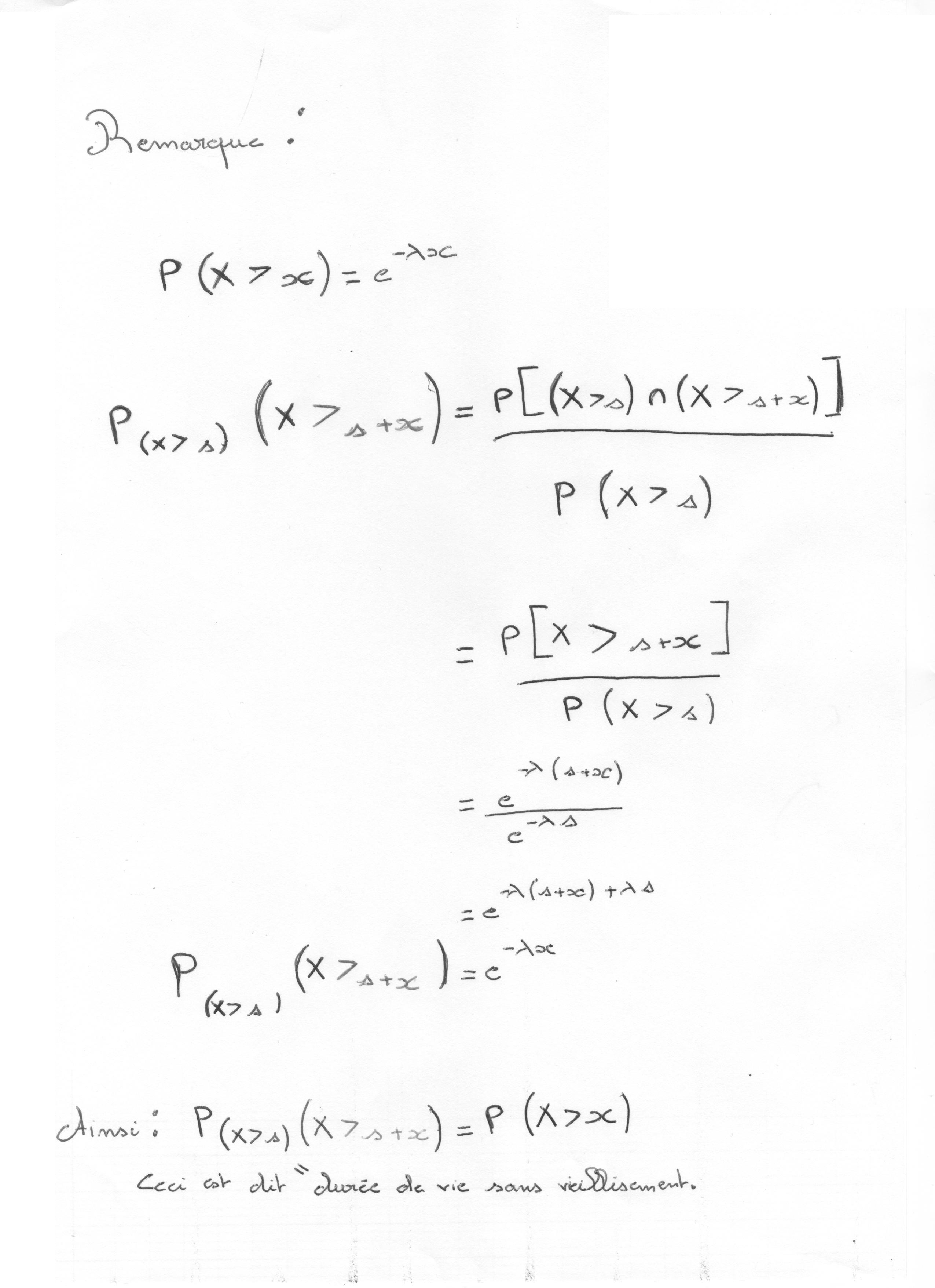
Pouvez-vous m'aidez à comprendre la Remarque du fichier joint?
Merci d'avance
Cordialement
Tout s'explique !!!!!!!!!!!! Grand Merci pour votre explication.
Pouvez-vous m'aidez à comprendre la Remarque du fichier joint?
Merci d'avance
Cordialement
-
SoS-Math(9)
- Messages : 6351
- Enregistré le : mer. 5 sept. 2007 12:10
Re: Probabilité
Désolé Hibari, mais je n'arrive pas à lire ton document ...
SoSMath.
SoSMath.
-
Hibari-T°S
Re: Probabilité
Bonsoir
C'est plutôt à moi de m'excuser pour l'état du document ;) . En tout cas je vous remerci de vous êtes penché sur mon probléme !!!!!
Grand Merci à tous SoS-Math (9),SoS-Math (21),SoS-Math (11) vous m'avez apporté une aide sans égal encore merci et à une prochaine
Cordialement
C'est plutôt à moi de m'excuser pour l'état du document ;) . En tout cas je vous remerci de vous êtes penché sur mon probléme !!!!!
Grand Merci à tous SoS-Math (9),SoS-Math (21),SoS-Math (11) vous m'avez apporté une aide sans égal encore merci et à une prochaine
Cordialement
