Lieu géométrique

Retrouver tous les sujets résolus.
Verrouillé
Ninon S

Lieu géométrique

Message par Ninon S » lun. 29 nov. 2010 17:56

Bonsoir,

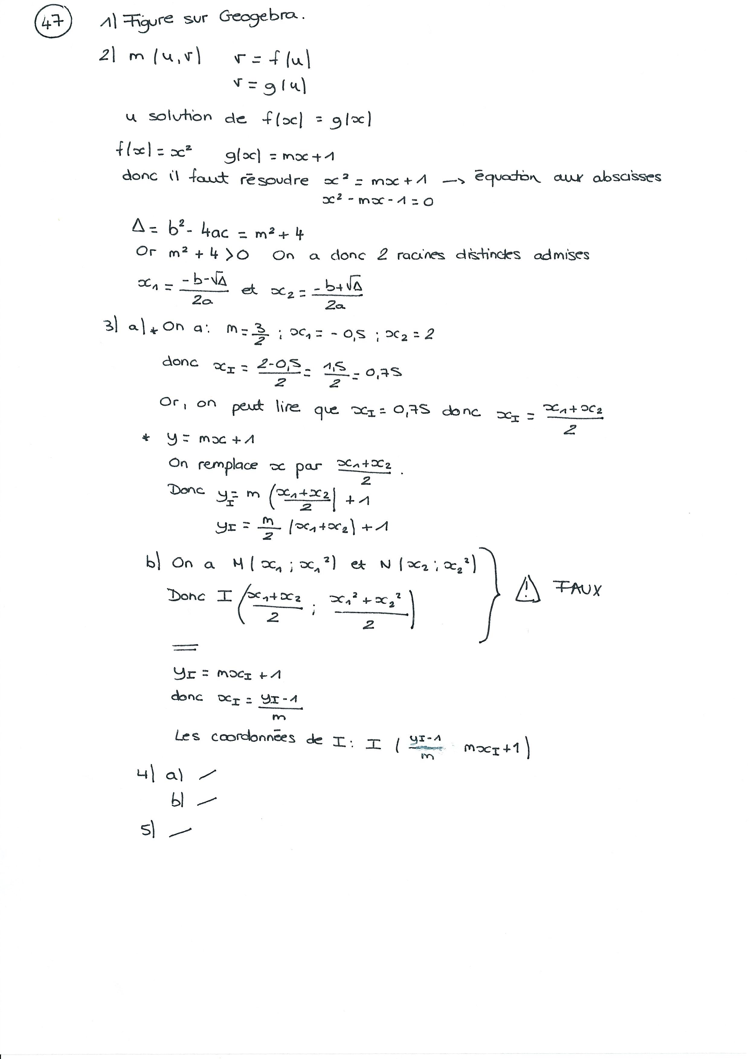
J'ai un exercice qui me pose problème.
L'énoncé ainsi que mon brouillon sont en pièce jointe.
J'aimerais savoir si mes résultats sont juste pour le moment où s'il faut rajouter des précisions.
Pour la question 3) b), les coordonnées trouvées sont apparemment justes mais je ne les ai pas trouvées par rapport au a) alors qu'on nous demande de "déduire".
Quant à la question 4), je ne vois absolument pas comment le prouver, je le visualise seulement avec Geogebra.

En vous remerciant par avance de m'aider !
Fichiers joints
Livre'.jpg
BrouillonDM'.jpg
sos-math(22)
Messages : 1694
Enregistré le : lun. 6 sept. 2010 16:53

Re: Lieu géométrique

Message par sos-math(22) » lun. 29 nov. 2010 19:39

Bonsoir,

1) figure géogébra : l'as-tu faite ?

2) c'est juste

3) a) pourquoi prendre m=3/2 ?

il faut raisonner ici de manière générale.

on sait que I est le milieu du segment [MN] donc :

\(x_I=\frac{x_1+x_2}{2}\)

ensuite, on a bien : \(y_I=\frac{x_1^2+x_2^2}{2}\), ce n'est pas faux comme tu le laisse entendre !

mais, avec cette égalité le calcul va être inutilement compliqué.

il est beaucoup judicieux de remarquer que I appartient à la droite (MN) et donc les coordonnées de I vérifient l'équation.

D'où : \(y_I=mx_I+1\).

Le calcul est alors facile à terminer.

Bon courage pour la suite.
Ninon S

Re: Lieu géométrique

Message par Ninon S » mer. 1 déc. 2010 19:05

Merci beaucoup pour votre aide !
sos-math(22)
Messages : 1694
Enregistré le : lun. 6 sept. 2010 16:53

Re: Lieu géométrique

Message par sos-math(22) » mer. 1 déc. 2010 20:51

Bonne continuation.
Verrouillé