dérivation terminale

Retrouver tous les sujets résolus.
Répondre
louise

dérivation terminale

Message par louise » lun. 1 févr. 2021 21:43

Bonsoir,

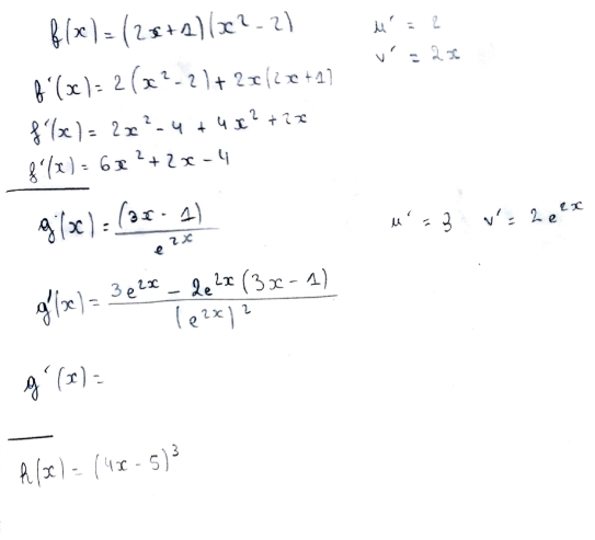
je dois dériver ces fonctions, je pense en avoir réussi une mais je n’arrive pas à faire les autres, pouvez vous m’aider svp?
Fichiers joints
CA2FF5A3-77FE-446E-8149-2EC7B83D7F37.jpeg
sos-math(21)
Messages : 10401
Enregistré le : lun. 30 août 2010 11:15

Re: dérivation terminale

Message par sos-math(21) » lun. 1 févr. 2021 21:52

Bonjour,
tes deux premières dérivées sont correctes., tu peux éventuellement, améliorer la deuxième en factorisant par \(\text{e}^{2x}\) au numérateur puis en simplifiant la fraction par ce facteur : tu obtiendras \(g'(x)=\dfrac{-6x+5}{\text{e}^{2x}}\)
Pour la dernière, ta fonction est de la forme \(u^{n}\) avec \(u(x)=4x-5\) et \(n=3\).
On sait que cette fonction se dérive en \(n\times u'\times u^{n-1}\). Il te reste à l'appliquer à ta situation : cela ne devrait pas poser de problème.
Bonne continuation
louise

Re: dérivation terminale

Message par louise » lun. 1 févr. 2021 22:02

merci pour votre réponse, néanmoins j'ai un doute, dois-je trouver 196x^2-300?
sos-math(21)
Messages : 10401
Enregistré le : lun. 30 août 2010 11:15

Re: dérivation terminale

Message par sos-math(21) » lun. 1 févr. 2021 22:06

Tu dois trouver \(h'(x)=12(4x-5)^2=192x^2-480x+300\).
Tu peux constater cela avec GeoGebra :

Téléchargez la figure ici.

Bonne correction
Répondre