Ex variables aléatoires
-
Yessine
Ex variables aléatoires
Bonjour,
Ex: dans la correction de question 1)b) pourquoi pas il n'a pas faire comme ça
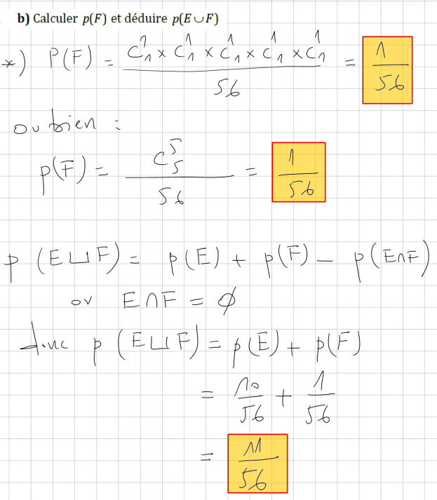
\(P(E\cup F)=P(E)+P(F)-P(E\cap F)=\frac{5}{28}+\frac{1}{56}-\frac{5}{28}*\frac{1}{56}=\frac{303}{1568}\) pouvez vous m'aider?
Merci d'avance
Ex: dans la correction de question 1)b) pourquoi pas il n'a pas faire comme ça
\(P(E\cup F)=P(E)+P(F)-P(E\cap F)=\frac{5}{28}+\frac{1}{56}-\frac{5}{28}*\frac{1}{56}=\frac{303}{1568}\) pouvez vous m'aider?
Merci d'avance
-
SoS-Math(9)
- Messages : 6351
- Enregistré le : mer. 5 sept. 2007 12:10
Re: Ex variables aléatoires
Bonjour Yessine,
Ton égalité \(P(E\cap F) = P(E) \times P(F)\) est fausse sauf si tes événements E et F sont indépendants (ce qui n'est pas le cas dans ton exercice).
SoSMath.
Ton égalité \(P(E\cap F) = P(E) \times P(F)\) est fausse sauf si tes événements E et F sont indépendants (ce qui n'est pas le cas dans ton exercice).
SoSMath.
-
Yessine
Re: Ex variables aléatoires
qu'est ce que ça veut dire les événements E et F sont indépendants ?
comment on peux connaître si deux événement sont indépendants ou pas ?
pouvez vous m'aider?
Merci d'avance
comment on peux connaître si deux événement sont indépendants ou pas ?
pouvez vous m'aider?
Merci d'avance
-
sos-math(21)
- Messages : 10401
- Enregistré le : lun. 30 août 2010 11:15
Re: Ex variables aléatoires
Bonjour,
Intuitivement, deux événements sont indépendants si la réalisation de l'un de ces événements n'influe pas sur la probabilité de l'autre.
En termes de probabilités conditionnelles, cela signifie \(P_A(B)=P(B)\) et \(P_B(A)=A\)
Avec les formules de probabilités conditionnelles, on a de manière générale : \(P_A(B)=\dfrac{P(A\cap B)}{P(A)}\) donc \(P(A\cap B)=P(A)\times P_A(B)\) donc les événements seront indépendants si et seulement si \(P(A\cap B)=P(A)\times P(B)\), ce qui est un critère de caractérisation pour l'indépendance de deux événements.
Il ne faut pas confondre l'indépendance avec l'incompatibilité \(P(A\cap B)=0\) et il faut se méfier de l'intuition qui peut faire conclure à l'indépendance de deux événements quand on les considère dans le contexte mais cette supposée indépendance peut ne pas être confirmée d'un point de vue des probabilités.
Le seul critère valable est \(P(A\cap B)=P(A)\times P(B)\).
Si tu n'en as jamais entendu parler, peut-être que ce n'est pas au programme de ta formation.
Bonne continuation
Intuitivement, deux événements sont indépendants si la réalisation de l'un de ces événements n'influe pas sur la probabilité de l'autre.
En termes de probabilités conditionnelles, cela signifie \(P_A(B)=P(B)\) et \(P_B(A)=A\)
Avec les formules de probabilités conditionnelles, on a de manière générale : \(P_A(B)=\dfrac{P(A\cap B)}{P(A)}\) donc \(P(A\cap B)=P(A)\times P_A(B)\) donc les événements seront indépendants si et seulement si \(P(A\cap B)=P(A)\times P(B)\), ce qui est un critère de caractérisation pour l'indépendance de deux événements.
Il ne faut pas confondre l'indépendance avec l'incompatibilité \(P(A\cap B)=0\) et il faut se méfier de l'intuition qui peut faire conclure à l'indépendance de deux événements quand on les considère dans le contexte mais cette supposée indépendance peut ne pas être confirmée d'un point de vue des probabilités.
Le seul critère valable est \(P(A\cap B)=P(A)\times P(B)\).
Si tu n'en as jamais entendu parler, peut-être que ce n'est pas au programme de ta formation.
Bonne continuation
-
Yessine
Re: Ex variables aléatoires
Bonjour,
mais dans l'exercice je n 'ai pas \(P(F\cap E)\) pour vérifier le critère qu'est ce que je dois faire ?
mais dans l'exercice je n 'ai pas \(P(F\cap E)\) pour vérifier le critère qu'est ce que je dois faire ?
-
sos-math(21)
- Messages : 10401
- Enregistré le : lun. 30 août 2010 11:15
Re: Ex variables aléatoires
Bonjour,
L’intersection des deux événements s’obtient à partir de leur définition : comme il n’y a pas de lettre commune aux deux mots bac et sport, aucune issue ne réalise l’intersection des deux événements :
\(E\cap F=\emptyset\) et la probabilité de cet événement est égale à 0.
Bonne continuation
L’intersection des deux événements s’obtient à partir de leur définition : comme il n’y a pas de lettre commune aux deux mots bac et sport, aucune issue ne réalise l’intersection des deux événements :
\(E\cap F=\emptyset\) et la probabilité de cet événement est égale à 0.
Bonne continuation
