question arithmétique

Retrouver tous les sujets résolus.
Répondre
Yessine

question arithmétique

Message par Yessine » lun. 11 mai 2020 11:12

Bonjour,
Ex:
Ex.png
dans la correction je ne comprends pas cette étape :
1.png
pouvez vous m'aider?
Merci d'avance
SoS-Math(34)
Messages : 599
Enregistré le : ven. 17 nov. 2017 09:31

Re: question arithmétique

Message par SoS-Math(34) » lun. 11 mai 2020 15:44

Bonjour Yessine,

Je te rappelle les propriétés de calculs sur les puissances :
\(a^{m+n} = a^{m} a^{n}\)
\((a^{m})^{n} = a^{mn} \)

Ainsi : \(2^{4n+3} = 2^{4n}2^{3}=(2^{4})^{n}\)x8 soit \(16^{n} \)x8
Je te laisse faire la simplification du deuxième terme de la somme.

Bonne recherche
sosmaths
SoS-Math(34)
Messages : 599
Enregistré le : ven. 17 nov. 2017 09:31

Re: question arithmétique

Message par SoS-Math(34) » lun. 11 mai 2020 18:02

Un complément utile à ma réponse :
8\(\equiv\)3 (mod 5) puisque 8 - 3 = 5 est un multiple de 5.
16 \(\equiv\)1 (mod 5) puisque 16 = 5*3 + 1
ainsi \(16^{n}\equiv 1^{n} (mod 5)\)
les congruences étant compatibles avec la multiplication :
8x\(16^{n}\)\(\equiv\)3x\(1^{n}\) (mod 5)

A toi de jouer pour le 2ème terme de la somme!
Bonne recherche
sosmaths
Yessine

Re: question arithmétique

Message par Yessine » mar. 12 mai 2020 00:43

Bonsoir

Merci beaucoup pour toutes ces explications, tout cela est bien plus clair maintenant.
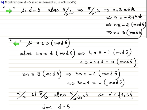
j'ai une autre question dans la correction de 2)b):
image.png
je ne comprends pas cette étape :
1.png
1.png (12.16 Kio) Vu 5240 fois
pourquoi le correcteur de l'exercice a pensé que si d = 5 alors 5 divise a-b et pas autre chose , comment il a trouvé l'idée ?
Merci encore de m'aider
sos-math(21)
Messages : 10401
Enregistré le : lun. 30 août 2010 11:15

Re: question arithmétique

Message par sos-math(21) » mar. 12 mai 2020 07:47

Bonjour,
\(d\) est le pgcd de \(a\) et \(b\) donc \(d|a\) et \(d|b\) : le pgcd est le plus grand diviseur commun à \(a\) et \(b\).
Donc s'il divise les deux à la fois, il divise leur différence : en effet si \(d|a\) il existe un entier \(k\) tel que \(a=kd\)
de même si \(d|b\), il existe un entier \(k'\) tel que \(b=k'd\) donc \(a-b=kd-k'd=(k-k')d\) ce qui prouve que \(d|a-b\).
Donc si on fait l'hypothèse que \(d=5\) alors \(5|a-b\) : on exploite les propriétés du PGCD et on les applique au cas particulier où celui-ci est égal à 5.
Est-ce plus clair ?
Bonne continuation
Yessine

Re: question arithmétique

Message par Yessine » mar. 12 mai 2020 09:05

oui, merci beaucoup
sos-math(21)
Messages : 10401
Enregistré le : lun. 30 août 2010 11:15

Re: question arithmétique

Message par sos-math(21) » mar. 12 mai 2020 09:06

Rebonjour,
si c'est plus clair, tant mieux.
Bonne continuation
Répondre