Représentation graphique

Retrouver tous les sujets résolus.
Verrouillé
Invité

Représentation graphique

Message par Invité » mar. 7 avr. 2009 15:25

Bonjour,

J'ai un devoir maison de math a faire pendant les vacances sauf que je bloque sur un exercice avec un histograme.
Je ne vois pas qu'elle echelle il faut utiliser car à chaque fois que je fait mon dessin ça ne rentre pas sur ma feuille, il y a trop de personnes à représenter sur l'histograme.
J'ai scanner l'exercice.

Merci d'avance ;).
Aurélie.
Fichiers joints
img020.jpg
SoS-Math(1)
Messages : 3151
Enregistré le : mer. 5 sept. 2007 10:48

Re: Représentation graphique

Message par SoS-Math(1) » mar. 7 avr. 2009 16:47

Bonjour Aurélie,
En prenant comme unité un mm pour représenter une personne, cela devrait convenir.
Bon courage.
Invité

Re: Représentation graphique

Message par Invité » mar. 7 avr. 2009 17:27

Bonsoir,

Merci de l'aide.
J'ai réussi a faire un histogramme, j'aimerais savoir si ce que j'ai fais est bon.
j'ai hésité pour quelques trucs des fois je ne savais pas si il fallait que j'augmente un peu plus la barre parce que elle était un peu moins large quelque fois notament pour l'intervalle [2;2.5[ et l'intervalle [2.5;3[.

Merci d'avance.
Aurélie.
Fichiers joints
img021.jpg
sos-math(13)
Messages : 1553
Enregistré le : mer. 11 mars 2009 15:32

Re: Représentation graphique

Message par sos-math(13) » mar. 7 avr. 2009 20:06

Bonjour Aurélie,

Attention : un histogramme n'est pas un diagramme.
Ce n'est pas la hauteur de la barre qui détermine le nombre de personnes. C'est l'aire de chaque rectangle qui est proportionnelle au nombre de personnes. Donc en abscisses, ta graduation est bonne, mais en ordonnées tu ne peux pas graduer.

Bon courage.
Invité

Re: Représentation graphique

Message par Invité » sam. 18 avr. 2009 17:08

Bonjour,

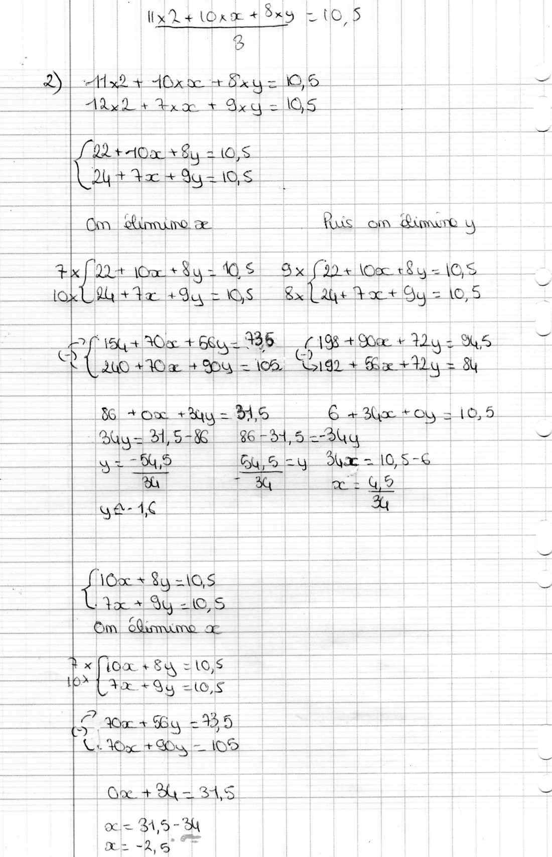
Il y a un autre truc que je n'arrive pas a faire C'est le 2°) de l'exercice 3 que j'ai scanner.
J'ai tenter plusieurs chose mais cela na pas abouti.
Merci de m'aidez et de me répondre rapidement si possible.

Aurélie.
Fichiers joints
img037.jpg
img031.jpg
SoS-Math(2)
Messages : 2177
Enregistré le : mer. 5 sept. 2007 12:03

Re: Représentation graphique

Message par SoS-Math(2) » dim. 19 avr. 2009 10:48

Bonjour Aurélie,
Vous avez fait une erreur dans le calcul de votre moyenne :
vous divisez le total des notes par 3 alors qu'il faut diviser par le total des coefficients donc pour la première moyenne vous avez :
\(\frac{12*2 + 7x + 9y}{2+x+y}=10,5\)

Vous devez faire de même pour la deuxième moyenne
Un petit résultat à utiliser : \(\frac{a}{b}=c\) équivaut à a = b x c
Bon courage
Invité

Re: Représentation graphique

Message par Invité » dim. 19 avr. 2009 14:07

Bonjour,

Merci de votre aide j'ai recommencer mes calculs que j'ai scanner ensuite.
Par contre, la dernière fois je vous avait envoyé la correction de mon diagramme mais apparemment vous le l'avez pas reçu donc je vais l'ajouté a ce message.

Merci de me dire si ce que j'ai fait est bon,
Aurélie.
Fichiers joints
img029.jpg
img039.jpg
SoS-Math(2)
Messages : 2177
Enregistré le : mer. 5 sept. 2007 12:03

Re: Représentation graphique

Message par SoS-Math(2) » dim. 19 avr. 2009 16:20

bonsoir,
bravo, vos calculs de coefficients sont justes.
Pour l'histogramme, vous ne devez pas laisser l'axe vertical qui ne représente rien.
Bon courage pour terminer votre devoir
SoS-Maths(2)
Verrouillé