Dm de math sur les inéquations
-
Invité
Dm de math sur les inéquations
Bonjour,
J'ai un devoir de math à faire pour la semaine prochaine, sauf qu'il y a quelques exercices dont je ne suis pas sure que ce que j'ai fait soit bon notamment pour les exercices avec les inéquations.
J'ai scanner les exercices et ce que j'ai fait, merci de me corriger si j'ai faux.
Aurélie.
J'ai un devoir de math à faire pour la semaine prochaine, sauf qu'il y a quelques exercices dont je ne suis pas sure que ce que j'ai fait soit bon notamment pour les exercices avec les inéquations.
J'ai scanner les exercices et ce que j'ai fait, merci de me corriger si j'ai faux.
Aurélie.
-
sos-math(13)
- Messages : 1553
- Enregistré le : mer. 11 mars 2009 15:32
Re: Dm de math sur les inéquations
Bonjour Aurélie,
l'exercice 41 est correct.
En revanche pour les deux autres, ce que tu as fait n'apparaît pas dans ton message.
Peux-tu le compléter ?
A bientôt.
l'exercice 41 est correct.
En revanche pour les deux autres, ce que tu as fait n'apparaît pas dans ton message.
Peux-tu le compléter ?
A bientôt.
-
Invité
Re: Dm de math sur les inéquations
Oui désolé mais je ne pouvais pas mettre plus de 3 fichier joint.
Voici les autres :
Voici les autres :
-
SoS-Math(7)
- Messages : 4004
- Enregistré le : mer. 5 sept. 2007 12:04
Re: Dm de math sur les inéquations
Bonsoir Aurélie,
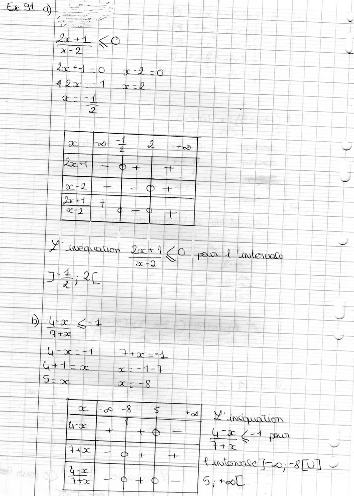
Exercice 91
a) c'est quasiment juste, vous avez juste oublié de noter dans le tableau de signes que (-2) est une valeur interdite.
b) votre travail est à reprendre. Écrivez votre inéquation de sorte que le second membre soit 0.
Exercice 82
Votre travail est juste à un bémol près, dans le tableau de signes du b) n'apparait pas la valeur interdite.
Bon courage
SOS Math
Exercice 91
a) c'est quasiment juste, vous avez juste oublié de noter dans le tableau de signes que (-2) est une valeur interdite.
b) votre travail est à reprendre. Écrivez votre inéquation de sorte que le second membre soit 0.
Exercice 82
Votre travail est juste à un bémol près, dans le tableau de signes du b) n'apparait pas la valeur interdite.
Bon courage
SOS Math
-
Invité
Re: Dm de math sur les inéquations
Bonsoir,
Merci de m'avoir corrigé pour les valeurs interdites que j'avais oubliée.
Autrement, pour le b) du 91, je l'ai recommencé.
Merci de me corriger si j'ai faux.
Aurélie.
Merci de m'avoir corrigé pour les valeurs interdites que j'avais oubliée.
Autrement, pour le b) du 91, je l'ai recommencé.
Merci de me corriger si j'ai faux.
Aurélie.
-
sos-math(13)
- Messages : 1553
- Enregistré le : mer. 11 mars 2009 15:32
Re: Dm de math sur les inéquations
Bonsoir,
L'exercice 23 est faux, mais ce n'est pas de ta faute...
Si la carte est au 70e, comme c'est indiqué, cela signifie qu'un centimètre sur la carte représente 70 cm sur le terrain.
1ère remarque : "on mesure sur la carte" mais on ne nous dit pas dans quelle unité.
2ème remarque : si l'unité sur la carte est le cm, en multipliant par 70, tu obtiens des cm sur le terrain.
Que je sache, Paris et Guéret sont distants d'un peu plus que ça !!!
La carte est sûrement au 7 000 000e, donc 1 cm vaut 7 000 000 cm, soit 70 km. Les distances annoncées sont alors plausibles.
Bon courage pour la suite.
C'est très bien pour la résolution de ton inéquation.
A bientôt.
L'exercice 23 est faux, mais ce n'est pas de ta faute...
Si la carte est au 70e, comme c'est indiqué, cela signifie qu'un centimètre sur la carte représente 70 cm sur le terrain.
1ère remarque : "on mesure sur la carte" mais on ne nous dit pas dans quelle unité.
2ème remarque : si l'unité sur la carte est le cm, en multipliant par 70, tu obtiens des cm sur le terrain.
Que je sache, Paris et Guéret sont distants d'un peu plus que ça !!!
La carte est sûrement au 7 000 000e, donc 1 cm vaut 7 000 000 cm, soit 70 km. Les distances annoncées sont alors plausibles.
Bon courage pour la suite.
C'est très bien pour la résolution de ton inéquation.
A bientôt.
-
Invité
Re: Dm de math sur les inéquations
Bonjour,
Merci de la précision pour l'unité du 70e utilisé dans l'énoncé.
Je pense avoir réussi l'intégralité de l'exercice à l'aide de surveillants dans mon lycée, j'aimerais juste savoir si ce que j'ai fait est bon.
Merci beaucoup de votre aide,
Aurélie.
Merci de la précision pour l'unité du 70e utilisé dans l'énoncé.
Je pense avoir réussi l'intégralité de l'exercice à l'aide de surveillants dans mon lycée, j'aimerais juste savoir si ce que j'ai fait est bon.
Merci beaucoup de votre aide,
Aurélie.
-
sos-math(12)
- Messages : 476
- Enregistré le : mer. 11 mars 2009 15:32
Re: Dm de math sur les inéquations
Bonjour Aurélie.
Ta démarche est correcte et tes résultats, vu la précision de ton graphique, le sont aussi.
Pour des résultats graphiques plus précis il faudrait travailler sur une représentation graphique elle aussi plus précise.
Sans compter que vu tes réponses précédentes, à la question 5 notamment, tu es parfaitement capable de déterminer les valeurs exactes en résolvant certaines équations.
A bientôt.
Ta démarche est correcte et tes résultats, vu la précision de ton graphique, le sont aussi.
Pour des résultats graphiques plus précis il faudrait travailler sur une représentation graphique elle aussi plus précise.
Sans compter que vu tes réponses précédentes, à la question 5 notamment, tu es parfaitement capable de déterminer les valeurs exactes en résolvant certaines équations.
A bientôt.
