produit scalaire
-
mala
produit scalaire
Bonjour j'ai réaliser ces exercices (en pièce jointe) pourriez vous m'indiquer si ce que j'ai fait est bon et assez détaillé. Merci d'avance
-
SoS-Math(34)
- Messages : 599
- Enregistré le : ven. 17 nov. 2017 09:31
Re: produit scalaire
Bonjour,
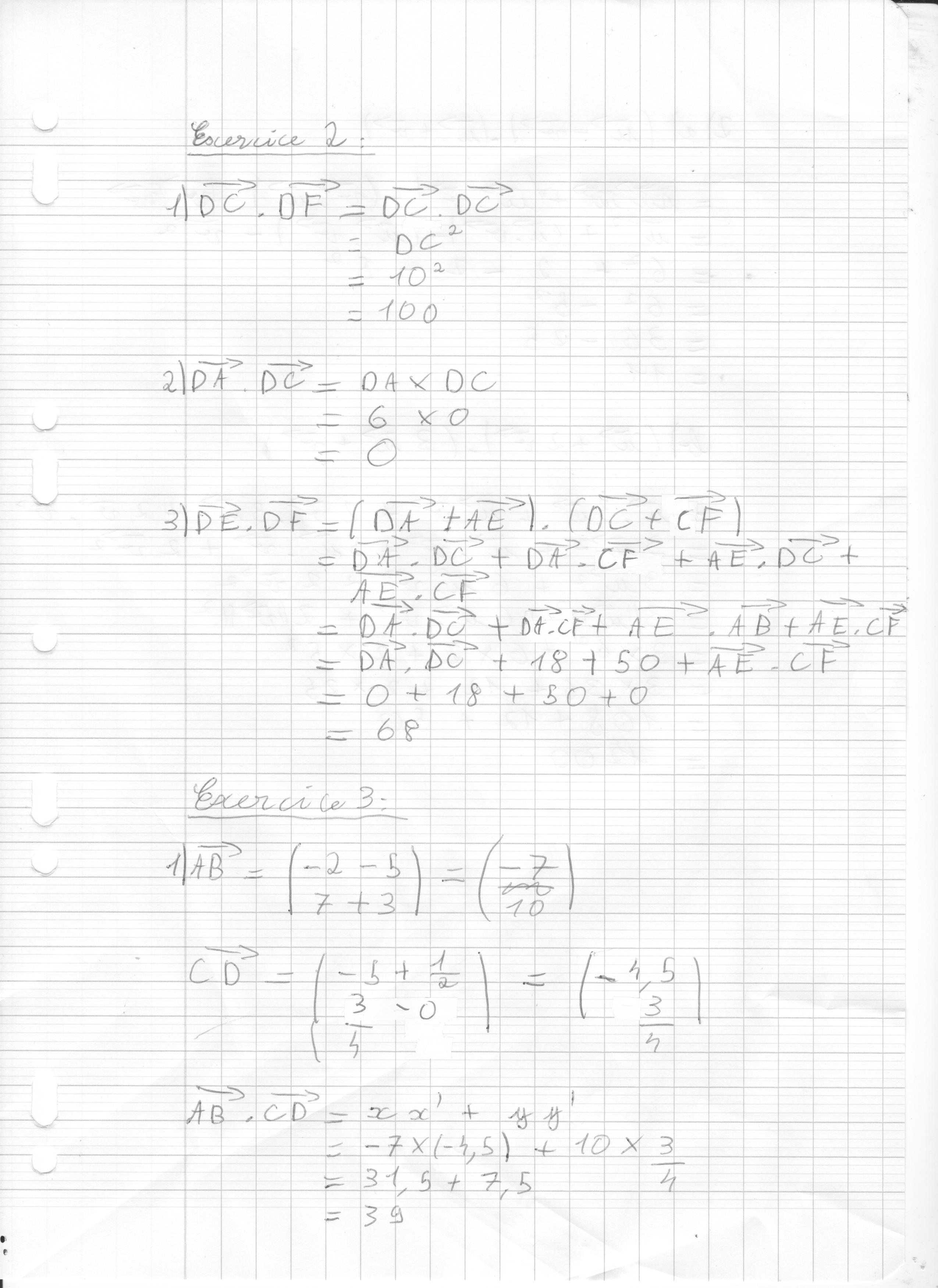
A l'exercice 1, 2), le produit scalaire est nul, mais ton calcul intermédiaire est incorrect.
* Soit tu dis que D est le projeté orthogonal de C sur (DA) donc que le produit scalaire est le produit des longueurs DA*DD (et pas DA*DC) c'est-à-dire 6*0 = 0.
* soit tu dis que les vecteurs sont orthogonaux donc le produit scalaire est nul. En effet, (DA) et (DC) sont perpendiculaires.
Tes autres calculs me semblent corrects à cet exercice.
A l'exercice 2, question 1), c'est le bon résultat.
Pour le 2)a), c'est bon.
Pour le 2)b), relis toi attentivement, tu as fait comme si 2*3 était égal à ...5. Cela peut arriver.
Le résultat que tu dois trouver est 172.
Bonne relecture
Sosmaths
A l'exercice 1, 2), le produit scalaire est nul, mais ton calcul intermédiaire est incorrect.
* Soit tu dis que D est le projeté orthogonal de C sur (DA) donc que le produit scalaire est le produit des longueurs DA*DD (et pas DA*DC) c'est-à-dire 6*0 = 0.
* soit tu dis que les vecteurs sont orthogonaux donc le produit scalaire est nul. En effet, (DA) et (DC) sont perpendiculaires.
Tes autres calculs me semblent corrects à cet exercice.
A l'exercice 2, question 1), c'est le bon résultat.
Pour le 2)a), c'est bon.
Pour le 2)b), relis toi attentivement, tu as fait comme si 2*3 était égal à ...5. Cela peut arriver.
Le résultat que tu dois trouver est 172.
Bonne relecture
Sosmaths
-
Mala
Re: produit scalaire
D'accord merci beaucoup j'ai compris mes erreurs.
-
SoS-Math(34)
- Messages : 599
- Enregistré le : ven. 17 nov. 2017 09:31
Re: produit scalaire
C'est bien! A bientôt sur le forum
Sosmaths
Sosmaths
