equations
-
lea
equations
Bonjour pouvez vous m'aider s'il vous plait pour résoudre ces 4 équations car je n'y arrive pas
Merci
Léa
Merci
Léa
-
SoS-Math(31)
- Messages : 1360
- Enregistré le : lun. 12 oct. 2015 10:33
Re: equations
Bonjour Léa,
Résoudre, c'est trouver l'inconnue x.
1) Sais tu résoudre 6 + 21x = 3 - 2x ?
Si oui, voilà de l'aide pour transformer ton équation
Développement de 3(2+7x) = 3 * 2 + 3 * 7x = 6 + 21x.
Que vaut 4 - (2x + 1) si tu enlèves les parenthèses ?
Résoudre, c'est trouver l'inconnue x.
1) Sais tu résoudre 6 + 21x = 3 - 2x ?
Si oui, voilà de l'aide pour transformer ton équation
Développement de 3(2+7x) = 3 * 2 + 3 * 7x = 6 + 21x.
Que vaut 4 - (2x + 1) si tu enlèves les parenthèses ?
-
SoS-Math(31)
- Messages : 1360
- Enregistré le : lun. 12 oct. 2015 10:33
Re: equations
Bonjour Léa,
Aide pour la question 2 :
Que vaut \(\frac{3x+1}{2} + \frac{3}{4}\) si tu mets aux même dénominateur et tu l'écris sous forme d'une seule fraction ?
Aide pour la question 2 :
Que vaut \(\frac{3x+1}{2} + \frac{3}{4}\) si tu mets aux même dénominateur et tu l'écris sous forme d'une seule fraction ?
-
lea
Re: equations
bonjour merci de votre réponse pour la première j'ai fait cela, mais je ne comprend pas pourquoi mon résultat est faux, car quand je fais les 2 équations a ma calculatrice, je trouve 2 résultats différents
Pouvez vous m'aider?
Merci
Léa
Pouvez vous m'aider?
Merci
Léa
-
SoS-Math(31)
- Messages : 1360
- Enregistré le : lun. 12 oct. 2015 10:33
Re: equations
Ton x n'est pas avec le 6 mais avec le 21 : Revoir le développement :
3 (2 +7x) = 3 *2 + 3 * 7x = 6 + 21 x
3 (2 +7x) = 3 *2 + 3 * 7x = 6 + 21 x
-
Léa
Re: equations
Jel'ai recommencé mais je ne trouve pas encore le meme résultat quand je vérifie
-
SoS-Math(31)
- Messages : 1360
- Enregistré le : lun. 12 oct. 2015 10:33
Re: equations
Si tu veeux enlever le - 2x du membre de gauche tu dois faire + 2x alors à droite tu auras 21x + 2x = 23 x.
D'où l'équation devient 6 + 23 x = 3
D'où l'équation devient 6 + 23 x = 3
-
Léa
Re: equations
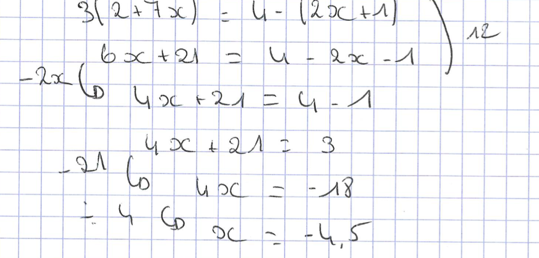
Pour l'équation 1 j'ai trouvé-3/21 est ce bon quand je vérifie je trouve la même chose
Pour la deuxième équation j'ai commencé a faire cala mais après je suis bloque pouvez vous m'aider?
Léa
Pour la deuxième équation j'ai commencé a faire cala mais après je suis bloque pouvez vous m'aider?
Léa
-
SoS-Math(31)
- Messages : 1360
- Enregistré le : lun. 12 oct. 2015 10:33
Re: equations
1) la solution est - 3 / 23 !
-
lea
Re: equations
Oui, je voulais dire -3/23
et pouvez vous m'aidez pour la 2
Merci
Léa
et pouvez vous m'aidez pour la 2
Merci
Léa
-
SoS-Math(31)
- Messages : 1360
- Enregistré le : lun. 12 oct. 2015 10:33
Re: equations
2) Transformation du membre de gauche: Mise au même dénominateur ici 4.
On multiplie donc 3x +1 par 2 ce qui donne 2(3x +1) = 2*3x + 2*1 = 6x + 2.
Ainsi \(\frac{3x+1}{2} + \frac{3}{4} = \frac{6x + 2}{4} + \frac{3}{4} = \frac{6x+2+3}{4} = \frac{6x+5}{4}\)
On multiplie donc 3x +1 par 2 ce qui donne 2(3x +1) = 2*3x + 2*1 = 6x + 2.
Ainsi \(\frac{3x+1}{2} + \frac{3}{4} = \frac{6x + 2}{4} + \frac{3}{4} = \frac{6x+2+3}{4} = \frac{6x+5}{4}\)
-
Invité
Re: equations
C'est très propre, très clair et très sympa.SoS-Math(31) a écrit : ↑jeu. 22 avr. 2021 15:152) Transformation du membre de gauche: Mise au même dénominateur ici 4.
On multiplie donc 3x +1 par 2 ce qui donne 2(3x +1) = 2*3x + 2*1 = 6x + 2.
Ainsi \(\frac{3x+1}{2} + \frac{3}{4} = \frac{6x + 2}{4} + \frac{3}{4} = \frac{6x+2+3}{4} = \frac{6x+5}{4}\)
Merci beaucoup.
-
léa
Re: equations
Bonjour merci pour votre réponse, faut il mettre
5:3 - 4+2x
au même dénominateur?
5:3 - 4+2x
au même dénominateur?
-
SoS-Math(33)
- Messages : 3588
- Enregistré le : ven. 25 nov. 2016 14:24
Re: equations
Bonjour Léa,
oui pour le membre de droite c'est le même principe que ce qu'a expliqué SoS-Math(31), tu dois mettre au même dénominateur et cette fois c'est 3.
SoS-math
oui pour le membre de droite c'est le même principe que ce qu'a expliqué SoS-Math(31), tu dois mettre au même dénominateur et cette fois c'est 3.
SoS-math
-
Léa
Re: equations
Bonjour
J'ai commencé a faire cela mais je suis bloque pouvez vousme dire comment me débloquer et si c'est bon ce que j'ai fait
s'il vous plait
merci
Léa
J'ai commencé a faire cela mais je suis bloque pouvez vousme dire comment me débloquer et si c'est bon ce que j'ai fait
s'il vous plait
merci
Léa
