Exercice
-
Laetitia
Exercice
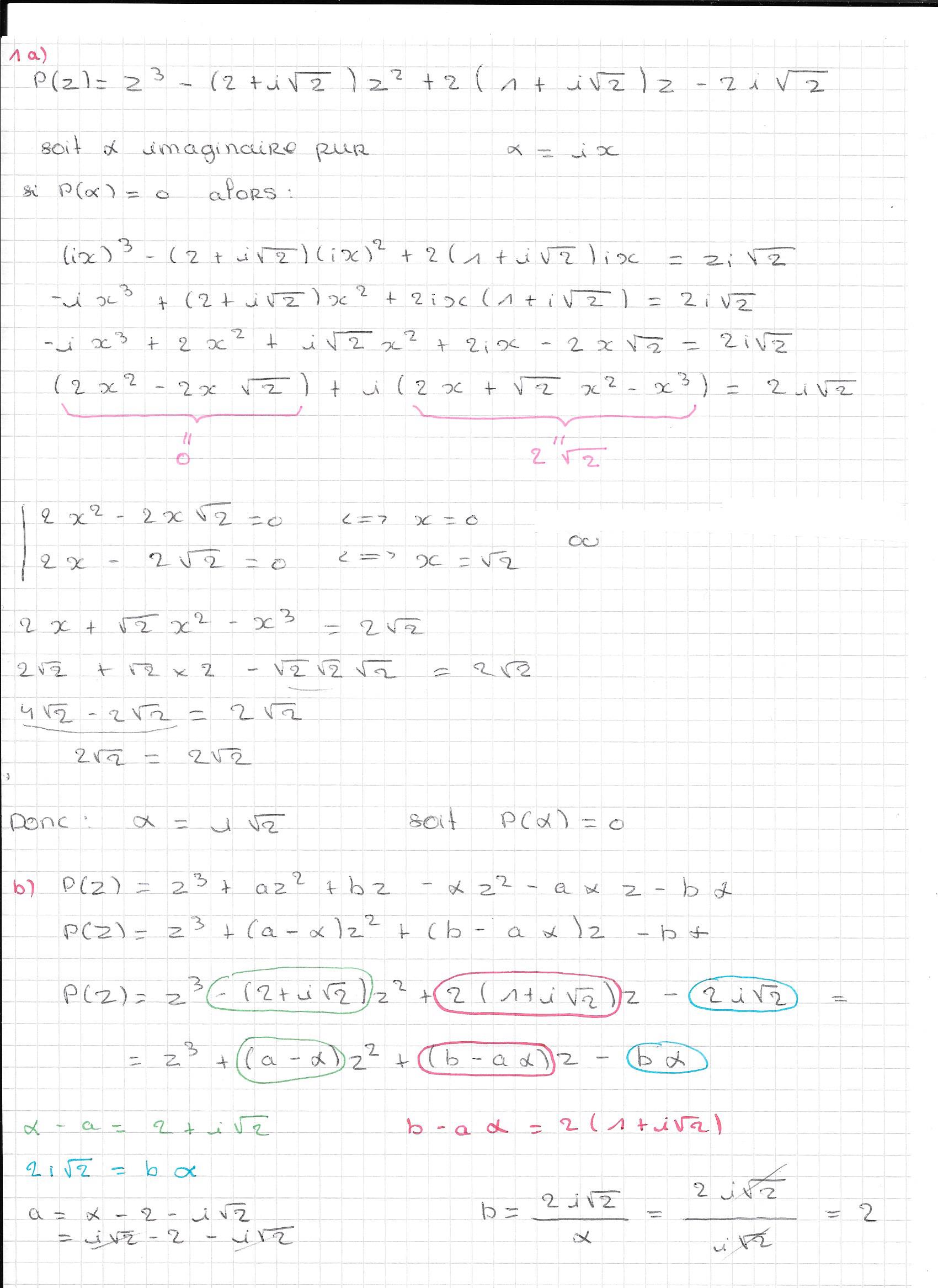
Bonjour, vous trouverez en fichier joint l'énoncé ainsi que mes réponses.
Pour la question c) je ne sais pas comment faire.
Merci
Pour la question c) je ne sais pas comment faire.
Merci
-
sos-math(28)
- Messages : 192
- Enregistré le : ven. 20 juin 2014 16:04
Re: Exercice
Bonjour
Tu as une forme factorisée de P(z) donc il faut t'en servir.
Tu as du par ailleurs apprendre à résoudre une équation du second degré dans C à coefficient réels.
Bon courage
Tu as une forme factorisée de P(z) donc il faut t'en servir.
Tu as du par ailleurs apprendre à résoudre une équation du second degré dans C à coefficient réels.
Bon courage
-
Laetitia
Re: Exercice
Résoudre dans C : p(z) = 0
p(z)=0 donne (z-i)(z²-2z+2)=0
donc z-i=0 ou z²-2z+2=0
donc z=i ou z=1-i ou z=1+i
Est-ce correct ?
p(z)=0 donne (z-i)(z²-2z+2)=0
donc z-i=0 ou z²-2z+2=0
donc z=i ou z=1-i ou z=1+i
Est-ce correct ?
-
sos-math(28)
- Messages : 192
- Enregistré le : ven. 20 juin 2014 16:04
Re: Exercice
Il me semble que tu n'as pas trouvé \(\alpha=i\)
alors ta première équation et solution est fausse.
Une remarque générale:
Chaque fois que l'on trouve un résultat on cherche à le vérifier :
As-tu développé (z-i)(z²-2z+2) ?
Si tu l'avais fait tu aurais vu qu'il était faux.
alors ta première équation et solution est fausse.
Une remarque générale:
Chaque fois que l'on trouve un résultat on cherche à le vérifier :
As-tu développé (z-i)(z²-2z+2) ?
Si tu l'avais fait tu aurais vu qu'il était faux.
