Bonjour,
Je vous demande votre aide pour me guider sur ce que je dois faire. Je suis vraiment bloqué car j'ai un peu oublié les bases de 1èreS et je n'arrive pas à voir ce que je dois faire pour résoudre cette question ci-dessous.
Merci.
Équation du second degré.
-
Alphonse Danlta
-
SoS-Math(11)
- Messages : 2881
- Enregistré le : lun. 9 mars 2009 18:20
Re: Équation du second degré.
Bonsoir,
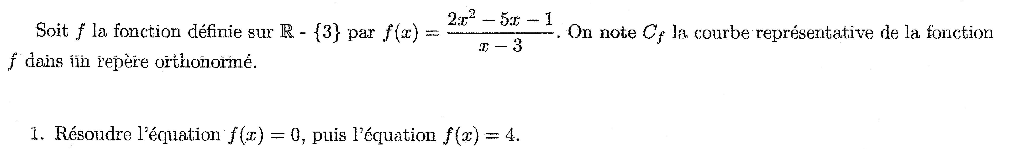
Pour résoudre f(x) = 0 il suffit de résoudre \(2x^2-5x-1=0\) et de vérifier que les solutions sont différentes de 3.
Pour résoudre f(x) = 4 il suffit de résoudre \(2x^2-5x-1=4(x-3\) et de vérifier que les solutions sont différentes de 3.
Bonne continuation
Pour résoudre f(x) = 0 il suffit de résoudre \(2x^2-5x-1=0\) et de vérifier que les solutions sont différentes de 3.
Pour résoudre f(x) = 4 il suffit de résoudre \(2x^2-5x-1=4(x-3\) et de vérifier que les solutions sont différentes de 3.
Bonne continuation
