Problème de signe
-
Clément
Problème de signe
Bonjour,
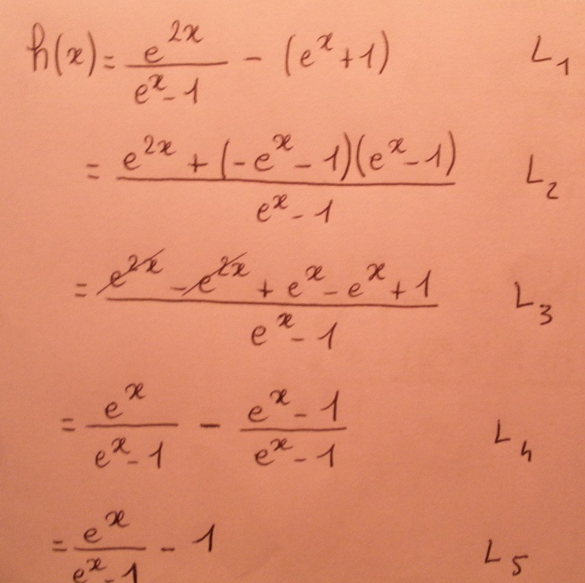
J'ai un problème, j'ai un fonction h(x) et je dois montrer qu'elle est égale à autre chose, je suis proche du résultat mais j'ai un problème avec un signe -.
Ce signe - je le retrouve à la fin toujours soit devant le "1" soit devant la franction
J'ai un problème, j'ai un fonction h(x) et je dois montrer qu'elle est égale à autre chose, je suis proche du résultat mais j'ai un problème avec un signe -.
Ce signe - je le retrouve à la fin toujours soit devant le "1" soit devant la franction
-
SoS-Math(4)
- Messages : 2724
- Enregistré le : mer. 5 sept. 2007 12:12
Re: Problème de signe
bonjour,
Ton calcul semble tout à fait juste. J'en conclu qu'il y a une erreur dans la question .
sosmaths
Ton calcul semble tout à fait juste. J'en conclu qu'il y a une erreur dans la question .
sosmaths
-
Clément
Re: Problème de signe
Bonjour,
J'ai bien relu l'énoncer et je n'ai pas fait d'erreur de recopiage, il doit donc bien y avoir un erreur dans le sujet.
Merci, sans vous j'aurai bataillé encore un long moment.
J'ai bien relu l'énoncer et je n'ai pas fait d'erreur de recopiage, il doit donc bien y avoir un erreur dans le sujet.
Merci, sans vous j'aurai bataillé encore un long moment.
-
SoS-Math(4)
- Messages : 2724
- Enregistré le : mer. 5 sept. 2007 12:12
Re: Problème de signe
à bientôt
sosmaths
sosmaths
