aire d'un triangle
-
ninarose
aire d'un triangle
bonjour tout d'abord merci pour les précédentes réponses
dans cet ex je trouve pour l'aire 50V2 alors qu'apparemment le résultat est 50V3
puis dans le 2 b comment detreminer la longueur DI
Merci par avance de votre aide
dans cet ex je trouve pour l'aire 50V2 alors qu'apparemment le résultat est 50V3
puis dans le 2 b comment detreminer la longueur DI
Merci par avance de votre aide
-
SoS-Math(9)
- Messages : 6351
- Enregistré le : mer. 5 sept. 2007 12:10
Re: aire d'un triangle
Bonjour ninarose,
Comment as-tu calculé ton aire ? Sans tes calculs, je ne peux pas t'aider ....
(Ton aire est constituté de l'aire de 4 triangles équilatéraux identiques)
Pour calculer BI, par définition de la hauteur dans une pyramide (droite orthogonale à la base) tu sais que le triangle EIB est rectangle en I.
tu connais la longueur EB. Tu peux calculer EI (sachant que I le centre de gravité du triangle équilatéral DEG).
Alors avec le théorème de Pythagore, tu peux calculer BI ...
Bon courage,
SoSMath.
Comment as-tu calculé ton aire ? Sans tes calculs, je ne peux pas t'aider ....
(Ton aire est constituté de l'aire de 4 triangles équilatéraux identiques)
Pour calculer BI, par définition de la hauteur dans une pyramide (droite orthogonale à la base) tu sais que le triangle EIB est rectangle en I.
tu connais la longueur EB. Tu peux calculer EI (sachant que I le centre de gravité du triangle équilatéral DEG).
Alors avec le théorème de Pythagore, tu peux calculer BI ...
Bon courage,
SoSMath.
-
ninarose
Re: aire d'un triangle
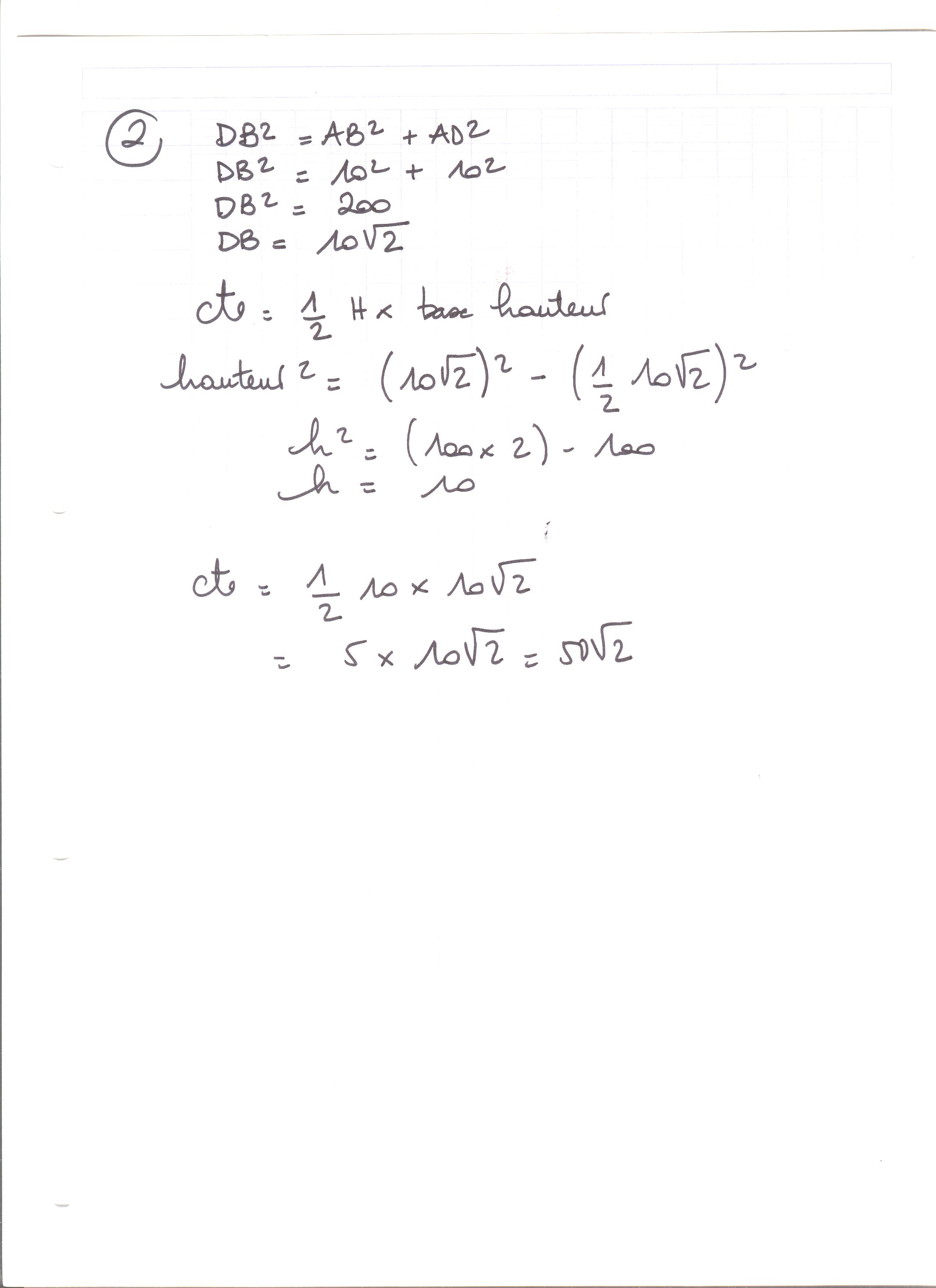
bonjour le calcul est joint c'est l'aire d'une face du tetraedre
merci pour la suite
merci pour la suite
-
SoS-Math(4)
- Messages : 2724
- Enregistré le : mer. 5 sept. 2007 12:12
Re: aire d'un triangle
bonjour ,
Revérifie le calcul de h², il y a une erreur.
Pour calculer BI, tu peux te servir du fait que EI est égale au 2/3 de la longueur de la médiane qui est également la hauteur. Mais alors il faut corriger ton calcul sur h, et suivre les conseils de mon collègue.
sosmaths
Revérifie le calcul de h², il y a une erreur.
Pour calculer BI, tu peux te servir du fait que EI est égale au 2/3 de la longueur de la médiane qui est également la hauteur. Mais alors il faut corriger ton calcul sur h, et suivre les conseils de mon collègue.
sosmaths
