Page 1 sur 2
Devoir sur les Vecteur .
Posté : mar. 5 janv. 2010 10:35
par Ashley
Boujour !! Voila j'ai deux exercice qui parle des vecteurs . J'ai mes cours sous les yeux mais je n 'arrive pas a trouver les réponses . Je voudrait savoir comment faire et pas que vous me donniez les réponses donc je vous laisse ci-dessous les exercice en esperant que vous puissiez m'aidez . Ce sont les exercices 4 et 5 , les autres exercices concerner les indices et les diagrammes polaires et je suis arriver a les faire mais les vecteur je n'y arrive vraiment pas .

- Exercice 4

- Exercice 5
Merci pour votre aide .
Ashley .
Re: Devoir sur les Vecteur .
Posté : mar. 5 janv. 2010 10:47
par SoS-Math(1)
Bonjour Ashley,
Si vous avez vos cours sous les yeux, cela devrait bien se passer.
Exercice 1.
1. Lorsqu'on a des parallélogrammes, on a des égalités vectorielles.
2. \(\vec{AC}+\vec{BD}=\vec{AC}+\vec{CE}\).
Vous devez connaître aussi la relation de Chasles.
3. Il faudra montrer que \(\vec{AD}+\vec{ED}=\vec{0}\).
4. Utiliser la relation de Chasles en faisant intervenir le point D et le point C.
A bientôt.
Ps: on verra l'exercice 2. quand vous aurez terminé l'exercice 1.
Re: Devoir sur les Vecteur .
Posté : mar. 5 janv. 2010 11:17
par Ashley
Rebonjour donc dans l'exercice 1 petit 1 le vecteur égal à BD ( avec une fléche au dessus ) = EC ( avec une fléche au dessus )
Est-ce sa ?
Re: Devoir sur les Vecteur .
Posté : mar. 5 janv. 2010 17:33
par Raquel
Bonjour je pense avoir compris une partie du deuxiéme exercice en regardant un peu mieux dans mes cours mais le reste je n'y arrive pas même aprés vos explication . Je vous dis quand même ce que j'ai trouver pour le deuxieme exercice :
1 : A ( 2 ; 4 )
B ( 4 ; 2 )
C ( 4 ; -2 )
D ( 2 ; -4 )
E ( -2 ; -4 )
F ( -4 ; -2 )
G ( -4 ; 2 )
H ( -2 ; 4 )
2 :

- Coordonée des vecteurs.jpg (3.39 Kio) Vu 5700 fois
Voila pour le reste je n'y arrive pas si vous pouviez m'aidez se seré gentil merci
Raquel .
Re: Devoir sur les Vecteur .
Posté : mar. 5 janv. 2010 18:14
par SoS-Math(1)
Bonjour,
Attention au sens des vecteurs.
ABCD est un parallélogramme, donc \(\vec{AB}=\vec{DC}\).
BDEC est un parallélogramme, donc \(\vec{BD}=\vec{CE}\).
Pour la question 2., la relation de Chasles dit que lorsqu'on ajoute deux vecteurs \(\vec{AB}\) et \(\vec{BC}\), cela donne \(\vec{AB}+\vec{BC}=\vec{AC}\) (regardez bien où est placé le point B dans les deux vecteurs).
A bientôt.
Re: Devoir sur les Vecteur .
Posté : mar. 5 janv. 2010 18:18
par SoS-Math(1)
Bonjour Raquel,
Je réponds maintenant à l'exercice 2.
Attention, le vecteur \(\vec{EF}\) a pour coordonnées \((x_F-x_E;y_F-y_E)\).
Donc ici, cela donnera \(x_F-x_E=-4-(-2)=-4+2=-2\)
Et \(y_F-y_E=-2-(-4)=-2+4=2\).
Donc le vecteur \(\vec{EF}\) a pour coordonnées \((-2;2)\).
A bientôt.
Re: Devoir sur les Vecteur .
Posté : mer. 6 janv. 2010 13:50
par Ashley
Bonjour voila je rectifie l'exercice 2 :
petit 2 :

- Coordonée 1.jpg (7.21 Kio) Vu 5694 fois

- Coordonée 2.jpg (6.65 Kio) Vu 5694 fois

- Coordonée 3.jpg (6.2 Kio) Vu 5694 fois
dites moi si c'est bon sinon j'ai rien compris .
Je vous envoir la suite dans un autre message .
Merci beaucoup et bone journée a tous
Ashley
Re: Devoir sur les Vecteur .
Posté : mer. 6 janv. 2010 14:01
par Ashley
Rebonjour voila la suite de mon message precedent avec le rectification de l'exercice 2 petit 2 :

- Coordonée 4.jpg (7.15 Kio) Vu 5694 fois

- Coordonée 5.jpg (6.19 Kio) Vu 5694 fois
Voila encore merci pour tout et a bientôt .
Ashley
Re: Devoir sur les Vecteur .
Posté : mer. 6 janv. 2010 14:56
par SoS-Math(1)
Bonjour Ashley,
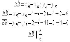
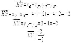
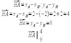
Les coordonnées des vecteurs \(\vec{EB}\), \(\vec{HG}\) et \(\vec{HA}\) que vous avez calculées sont exactes.
A bientôt.
Re: Devoir sur les Vecteur .
Posté : mer. 6 janv. 2010 14:59
par SoS-Math(1)
Bonjour Ashley,
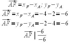
Pour les coordonnées des vecteurs \(\vec{AF}\) et \(\vec{FC}\), c'est encore exact.
A bientôt.
Re: Devoir sur les Vecteur .
Posté : mer. 6 janv. 2010 17:32
par Ashley
Bonjour voila je suis contente que sa soit juste mais pour l'exercice 1 je reste sans rien comprendre . Pour le petit 1 ma réponse était donc juste mais mal écrite non ? Donc le résultat serait :

- Sans titre.jpg (2.01 Kio) Vu 5689 fois
le probléme est qu'il faut justifier mais je ne sais comment .
Par contre pour le petit 2 je n'ai rien compris celon
sos(1) on a :

- Sans titre.jpg (3.19 Kio) Vu 5689 fois
Mais je ne comprend pas pourquoi ? car , par exemple , ABCD est un parallélogramme que si

- Sans titre.jpg (1.99 Kio) Vu 5689 fois
donc pourquoi ? je ne comprend pas .
Merci de m'aider !!!
Bonne soiré a tous!!!
Ashley !
Re: Devoir sur les Vecteur .
Posté : mer. 6 janv. 2010 18:08
par SoS-Math(1)
Bonjour Ashley,
Pour la question 1, votre réponse était fausse. Maintenant, elle est juste.
\(\vec{BD}\neq~\vec{EC}\), par contre \(\vec{BD}=\vec{CE}\).
On aurai pu dire que \(\vec{BD}=-\vec{EC}\).
Ensuite, \(\vec{AC}+\vec{BD}=\vec{AC}+\vec{CE}=\vec{AE}\), d'après la relation de Chasles.
On a remplacé \(\vec{BD}\) par \(\vec{CE}\) d'après la question 1.
Pour démontrer que le point D est le milieu du segment \([AE]\), il faut prouver que \(\vec{DA}+\vec{DE}=\vec{0}\).
On peut écrire que \(\vec{DA}+\vec{DE}=\vec{DB}+\vec{BA}+\vec{DC}+\vec{CE}\) (application de la relation de Chasles deux fois).
A vous de finir pour cette question.
Pour la dernière question, il faut démontrer que \(\vec{AC}+\vec{BD}=2\vec{AD}\).
On peut écrire que \(\vec{AC}+\vec{BD}=\vec{AD}+\vec{DC}+\vec{BA}+\vec{AD}\).
A vous de finir pour cette question.
A bientôt.
Re: Devoir sur les Vecteur .
Posté : lun. 18 janv. 2010 16:27
par Ashley
Bonjour excuser moi pour se retard !! Voila je donne une proposicion concernant l'exercice 1 petit 3 :
d est le milieu du segment [AE] car

- VECTEUR.jpg (6.04 Kio) Vu 5676 fois
voila pour le petit 4 je supose que l'on utilise la même formule donc :

- VECTEUR.jpg (4.44 Kio) Vu 5676 fois
JE NE SAIS PAS LA SUITE !!!
Voila en esperant vos réponse !! encore merci !!
Ashley !!
Re: Devoir sur les Vecteur .
Posté : lun. 18 janv. 2010 21:49
par SoS-Math(7)
Bonsoir Ashley,
Vous n'avez rien démontré, vous avez utilisé la relation de Chasles pour démontrer que \(\vec{DA}+\vec{DE}=\vec{DA}+\vec{DE}\) !
Reprenons calmement ce problème :
Vous cherchez à démontrer que D est le milieu de [AE]. Pour cela, il suffit de démontrer que \(\vec{AD}=\vec{DE}\)
ABCD est un parallélogramme donc \(\vec{AD}=\dots\)
BCED est un parallélogramme donc \(\vec{DE}=\dots\)
Je vous laisse finir et conclure.
Une fois cette question démontrée, nous regarderons la suite.
A bientôt
Re: Devoir sur les Vecteur .
Posté : mar. 19 janv. 2010 09:23
par Ashley
Bonjour voila je rectifie pour l'exercice 1 petit 3 :

- VECTEUR.jpg (5.06 Kio) Vu 5672 fois
voila est-ce juste ?
merci et à bientôt !! Bonne journée a tous !!!
ashley !!!