limites

Retrouver tous les sujets résolus.
Verrouillé
similliri

limites

Message par similliri » dim. 13 sept. 2009 12:34

bonjour
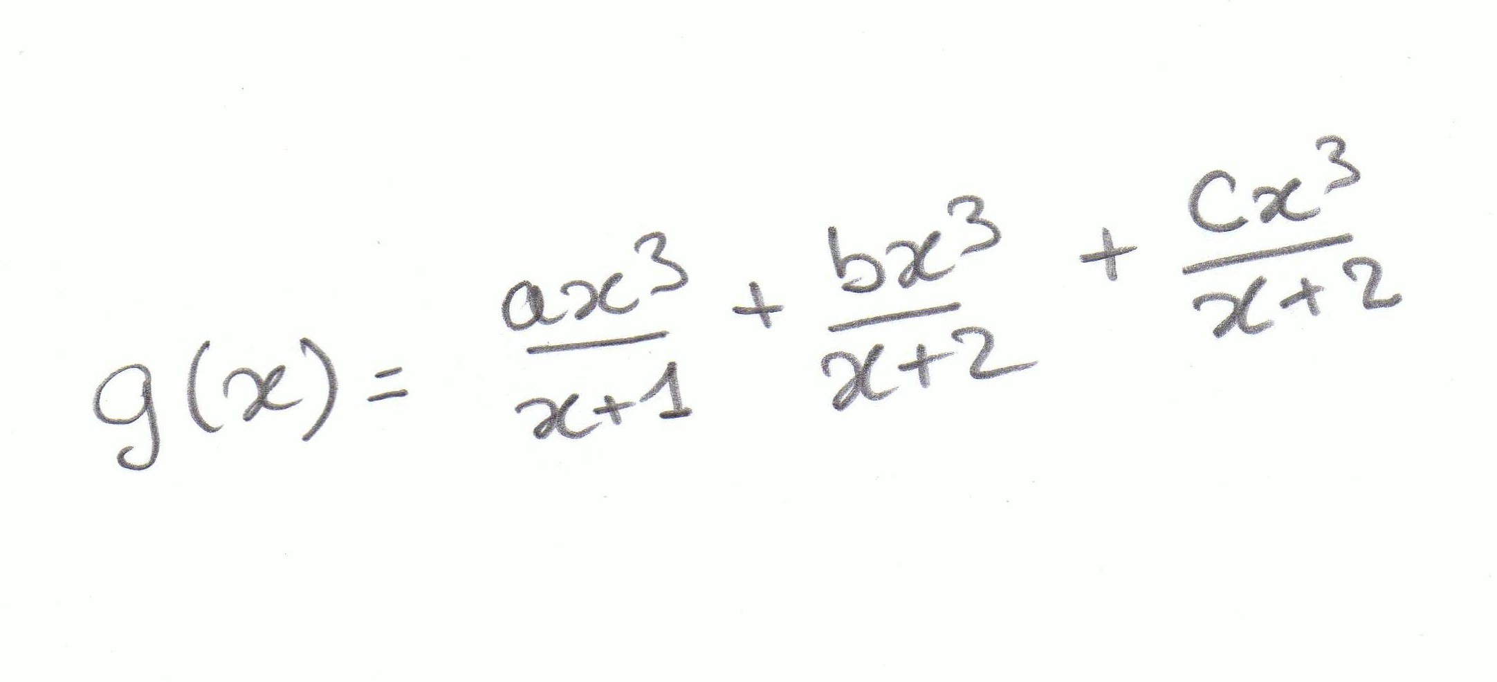
j'ai un problème
il y a ne fonction
img010.jpg
et C sa courbe représentative.
1) Montrer que C admet trois asymptotes verticales
2) Quelles relations doivent verifier a,b et c pour que C admette une asymptote oblique
sos-math(13)
Messages : 1553
Enregistré le : mer. 11 mars 2009 15:32

Re: limites

Message par sos-math(13) » dim. 13 sept. 2009 12:39

Bonjour,

je ne vois que deux asymptotes verticales, ou bien il y a une erreur dans la fonction...


à bientôt.
similliri

Re: limites

Message par similliri » dim. 13 sept. 2009 12:58

en fait je me suis trompée. la fonction est :
Sans titre.jpg
Sans titre.jpg (10.36 Kio) Vu 2018 fois
sos-math(13)
Messages : 1553
Enregistré le : mer. 11 mars 2009 15:32

Re: limites

Message par sos-math(13) » dim. 13 sept. 2009 23:11

Oui, j'ai vu que tu avais posté un autre message à ce sujet.

À bientôt sur sos-math.
Verrouillé