Combinaison
-
Alice
Combinaison
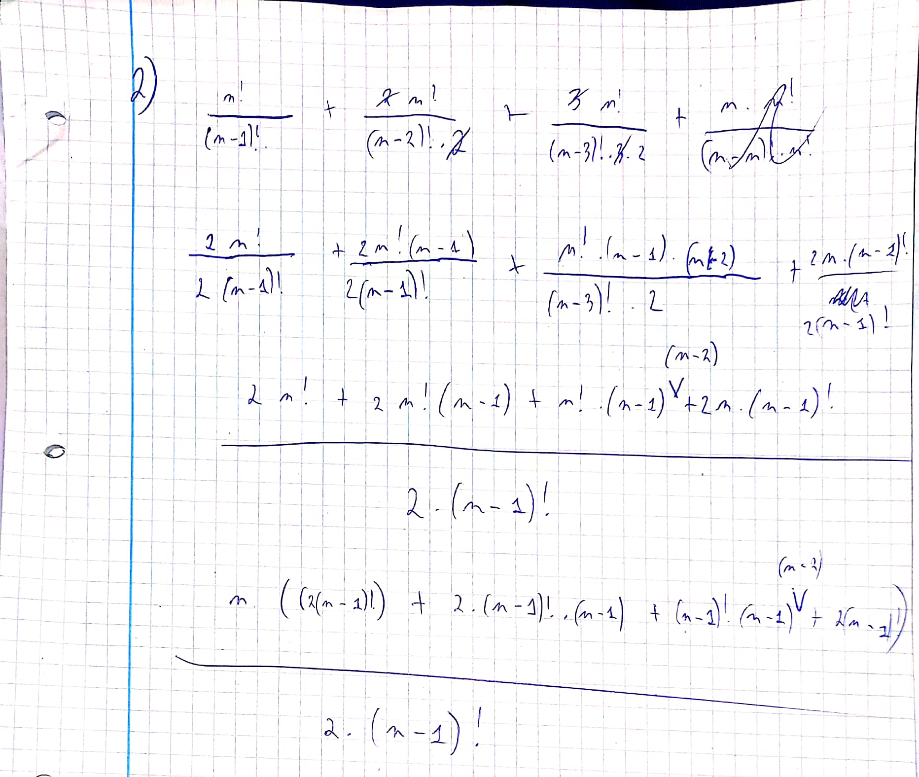
Bonjour, J'ai un devoir concernant les combinaison et je n'arrive pas à savoir si j'ai réussi ou pas. Je ne sais pas si je dois m'arrêter ou tenter de continuer. Voici ce que j'ai fait :
-
SoS-Math(25)
- Messages : 1867
- Enregistré le : mer. 2 nov. 2011 09:39
Re: Combinaison
Bonjour Alice,
Pour le 1) :
Dans le dénominateur du membre de droite c'est bien (k-1)! et non (k+1)!. Ainsi, on obtient bien (k-1)!*k = k!
Pour le 2) je suis un peu perdu dans ta rédaction, il faudrait mettre "..." au bon endroit.
Je te propose d'utiliser le 1) en conservant les coefficients binomiaux (j'écris la somme compressée avec le signe \(\sum\) si tu connais....) :
On cherche \(\displaystyle\sum_{k=1}^{n} k\times C_{n}^{k}\) :
\(\displaystyle\sum_{k=1}^{n} k\times C_{n}^{k} = 1\times C_{n}^{1} + 2\times C_{n}^{2} + \ldots + n\times C_{n}^{n}\)
On utilise donc le 1) :
\( = n\times C_{n-1}^{0} + n\times C_{n-1}^{1} + \ldots + n\times C_{n-1}^{n-1}\)
\(= n\left( C_{n-1}^{0} + C_{n-1}^{1} + \ldots + C_{n-1}^{n-1}\right)\)
On vient de montrer que :
\(\displaystyle\sum_{k=1}^{n} k\times C_{n}^{k} = n\displaystyle\sum_{k=1}^{n} C_{n-1}^{k-1} = n\displaystyle\sum_{k=0}^{n-1} C_{n-1}^{k}\)
On voit apparaitre une somme connue, la connais-tu ?
\(C_{n-1}^{0} + C_{n-1}^{1} + \ldots + C_{n-1}^{n-1}~\) ou encore \(~\displaystyle\sum_{k=0}^{n-1} C_{n-1}^{k}\)
A bientôt
Pour le 1) :
Dans le dénominateur du membre de droite c'est bien (k-1)! et non (k+1)!. Ainsi, on obtient bien (k-1)!*k = k!
Pour le 2) je suis un peu perdu dans ta rédaction, il faudrait mettre "..." au bon endroit.
Je te propose d'utiliser le 1) en conservant les coefficients binomiaux (j'écris la somme compressée avec le signe \(\sum\) si tu connais....) :
On cherche \(\displaystyle\sum_{k=1}^{n} k\times C_{n}^{k}\) :
\(\displaystyle\sum_{k=1}^{n} k\times C_{n}^{k} = 1\times C_{n}^{1} + 2\times C_{n}^{2} + \ldots + n\times C_{n}^{n}\)
On utilise donc le 1) :
\( = n\times C_{n-1}^{0} + n\times C_{n-1}^{1} + \ldots + n\times C_{n-1}^{n-1}\)
\(= n\left( C_{n-1}^{0} + C_{n-1}^{1} + \ldots + C_{n-1}^{n-1}\right)\)
On vient de montrer que :
\(\displaystyle\sum_{k=1}^{n} k\times C_{n}^{k} = n\displaystyle\sum_{k=1}^{n} C_{n-1}^{k-1} = n\displaystyle\sum_{k=0}^{n-1} C_{n-1}^{k}\)
On voit apparaitre une somme connue, la connais-tu ?
\(C_{n-1}^{0} + C_{n-1}^{1} + \ldots + C_{n-1}^{n-1}~\) ou encore \(~\displaystyle\sum_{k=0}^{n-1} C_{n-1}^{k}\)
A bientôt
