logarithme
-
hervé
logarithme
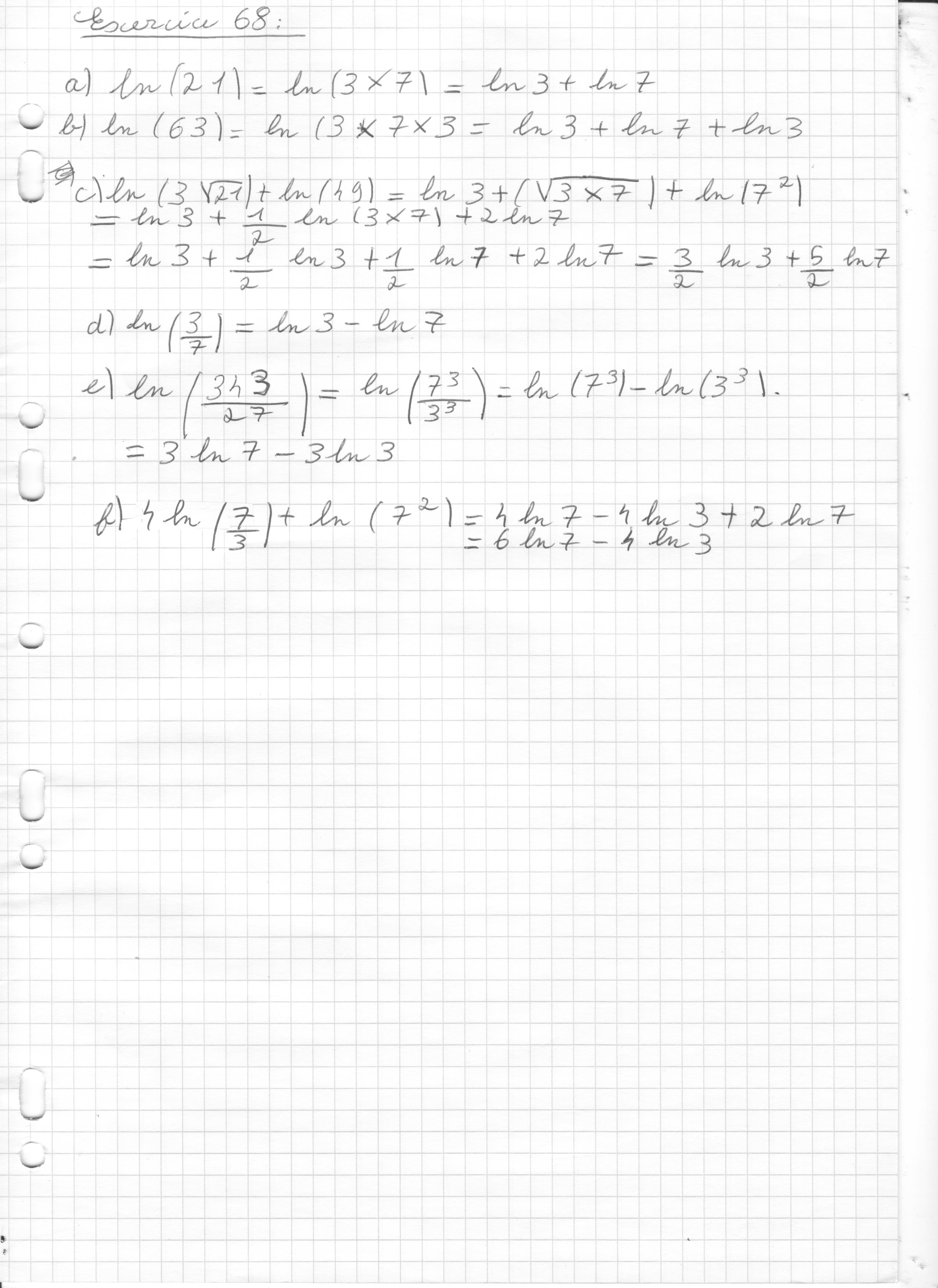
Bonjour j'ai réaliser l'exercice 68, pourriez vous me dire si la rédaction est correcte et assez développé. Merci d'avance
-
sos-math(21)
- Messages : 10401
- Enregistré le : lun. 30 août 2010 11:15
Re: logarithme
Bonjour,
Ta rédaction me paraît suffisante. Tu peux peut-être rappeler les règles que tu as utilisées.
Tu peux peut-être réduire l’expression du b). (2ln(3)+ln(7))
Bonne continuation
Ta rédaction me paraît suffisante. Tu peux peut-être rappeler les règles que tu as utilisées.
Tu peux peut-être réduire l’expression du b). (2ln(3)+ln(7))
Bonne continuation
-
hervé
Re: logarithme
D'accord merci beaucoup. Je dois aussi faire les exercices 85,87 et 89 mais je n'ai pas compris pourriez vous m'aidez s'il vous plait.
-
sos-math(21)
- Messages : 10401
- Enregistré le : lun. 30 août 2010 11:15
Re: logarithme
Bonjour,
pour le 85, il s'agit de résoudre des équations avec du logarithme. Il faut d'abord établir le domaine de validité de l'équation, c'est-à-dire déterminer sur quel(s) intervalle(s) l'équation est définie.
Ici, tu as \(\ln(-x+1)\) : \(\ln(x)\) est définie pour \(x>0\), donc il faut qu'on ait \(-x+1>0\), je te laisse résoudre cette inéquation et trouver alors le domaine de validité de l'équation. Une fois cela fait, il faut résoudre cette équation et pour cela il faut "enlever" les \(\ln\).
Tu as dû voir dans ton cours que si \(\ln(A)=\ln(B)\) alors \(A=B\). Tu peux donc appliquer cette propriété ici, ce qui donne \(-x+1=2\).
Tu résous cette petite équation et tu vérifies ensuite que la solution appartient (ou pas) à l'intervalle de validité.
Pour le 87, il s'agit d'étudier les fonctions, en calculant d'abord la dérivée. Pour la première, sachant que \(\left(\ln(x)\right)'=\dfrac{1}{x}\), tu as \(f'(x)=\dfrac{1}{x}+1\). Étant sur \(]0\,;\,+\infty[\), cette expression est toujours strictement positive et la fonction est donc strictement croissante. Je te laisse terminer l'étude avec le tableau de variation.
Pour les inéquations, c'est la même démarche que pour les équations : détermination du domaine de validité, suppression du logarithme avec les propriétés : \(\ln(A)>\ln(B)\Longrightarrow A>B\) ou \(\ln(A)<\ln(B)\Longrightarrow A<B\), résolution de l'équation et intersection de l'intervalle solution avec l'intervalle de validité.
Bon travail
pour le 85, il s'agit de résoudre des équations avec du logarithme. Il faut d'abord établir le domaine de validité de l'équation, c'est-à-dire déterminer sur quel(s) intervalle(s) l'équation est définie.
Ici, tu as \(\ln(-x+1)\) : \(\ln(x)\) est définie pour \(x>0\), donc il faut qu'on ait \(-x+1>0\), je te laisse résoudre cette inéquation et trouver alors le domaine de validité de l'équation. Une fois cela fait, il faut résoudre cette équation et pour cela il faut "enlever" les \(\ln\).
Tu as dû voir dans ton cours que si \(\ln(A)=\ln(B)\) alors \(A=B\). Tu peux donc appliquer cette propriété ici, ce qui donne \(-x+1=2\).
Tu résous cette petite équation et tu vérifies ensuite que la solution appartient (ou pas) à l'intervalle de validité.
Pour le 87, il s'agit d'étudier les fonctions, en calculant d'abord la dérivée. Pour la première, sachant que \(\left(\ln(x)\right)'=\dfrac{1}{x}\), tu as \(f'(x)=\dfrac{1}{x}+1\). Étant sur \(]0\,;\,+\infty[\), cette expression est toujours strictement positive et la fonction est donc strictement croissante. Je te laisse terminer l'étude avec le tableau de variation.
Pour les inéquations, c'est la même démarche que pour les équations : détermination du domaine de validité, suppression du logarithme avec les propriétés : \(\ln(A)>\ln(B)\Longrightarrow A>B\) ou \(\ln(A)<\ln(B)\Longrightarrow A<B\), résolution de l'équation et intersection de l'intervalle solution avec l'intervalle de validité.
Bon travail
-
Hervé
Re: logarithme
J'ai réussi à faire l'exercice 85 voici les solutions que je trouve :
a)S=1
b)S=1-racine de 5; 1+racine de 5
c)S=-9;9
d)S= 1+racine de 306/6
je n'arrive pas à vous envoyer ma feuille donc je ne sais pas si ma rédaction et bonne pourriez-vous me faire un exemple s'il vous plaît ?
a)S=1
b)S=1-racine de 5; 1+racine de 5
c)S=-9;9
d)S= 1+racine de 306/6
je n'arrive pas à vous envoyer ma feuille donc je ne sais pas si ma rédaction et bonne pourriez-vous me faire un exemple s'il vous plaît ?
-
SoS-Math(31)
- Messages : 1360
- Enregistré le : lun. 12 oct. 2015 10:33
Re: logarithme
Bonjour Hervé,
a) L'ensemble de définition de la fonction ln(-x + 1) est x < 1 ( car - x + 1 > 0) donc la solution ne peut pas être 1 ! E = ] - infini; 1[
De plus tu as du oublier un signe négatif ln(-x + 1) = ln(2) équivaut à -x + 1 = 2 alors - x = 2 - 1 = 1 alors x = - 1.
- 1 est bien dans l'ensemble de définition E précédent donc il est bien solution.
a) L'ensemble de définition de la fonction ln(-x + 1) est x < 1 ( car - x + 1 > 0) donc la solution ne peut pas être 1 ! E = ] - infini; 1[
De plus tu as du oublier un signe négatif ln(-x + 1) = ln(2) équivaut à -x + 1 = 2 alors - x = 2 - 1 = 1 alors x = - 1.
- 1 est bien dans l'ensemble de définition E précédent donc il est bien solution.
-
SoS-Math(31)
- Messages : 1360
- Enregistré le : lun. 12 oct. 2015 10:33
Re: logarithme
b) Les solutions de x² - 2x = 4 sont juste mais as tu déterminer E quand x² - 2x > 0 et vérifier si les solutions sont bien dans E?
c) x² > 0 il faut donc enlever x = 0 dans E = R*. - 9 et 9 sont bien dans E donc son solutions. N'oublies pas de le préciser.
d) Il faut 3x - 1 > 0 et x >0 pour trouver E. Comment as tu trouvé 306 ?
c) x² > 0 il faut donc enlever x = 0 dans E = R*. - 9 et 9 sont bien dans E donc son solutions. N'oublies pas de le préciser.
d) Il faut 3x - 1 > 0 et x >0 pour trouver E. Comment as tu trouvé 306 ?
-
Hervé
Re: logarithme
Pour la b je trouve E=]-l'infini;02;+l'infini [
-
SoS-Math(31)
- Messages : 1360
- Enregistré le : lun. 12 oct. 2015 10:33
Re: logarithme
oui, ] - infini, - 2 [ u ] 2 ; + infini[, c'est bien.
1- racine(5) environ -1, 23 donc appartient-il à E ?
1- racine(5) environ -1, 23 donc appartient-il à E ?
-
Hervé
Re: logarithme
Pour la d je n'ai pas trouvé 306 mes 301 je me suis trompé en vous écrivant.
1-racine de 5 n'appartient pas à E mais comment faites-vous pour trouver cette ensemble de définition ?
1-racine de 5 n'appartient pas à E mais comment faites-vous pour trouver cette ensemble de définition ?
-
sos-math(21)
- Messages : 10401
- Enregistré le : lun. 30 août 2010 11:15
Re: logarithme
Bonjour,
pour la b, il faut résoudre l'inéquation \(x^2-2x>0\) pour avoir le domaine de définition de l'équation.
Avec, un discriminant ou un tableau de signe, tu as \(\mathcal{D}=]-\infty\,;\,0[\cup]2\,;\,+\infty[\) et tes deux solutions \(1-\sqrt{5}\,,\,1+\sqrt{5}\) sont bien dans ce domaine et sont valables.
Pour la d), Il faut que tu aies \(3x-1>0\) et \(x>0\), ce qui donne \(\mathcal{D}=\left]\dfrac{1}{3}\,;\,+\infty\right[\) et tu as ensuite deux solutions \(\dfrac{1-\sqrt{301}}{6}\,,\, \dfrac{1+\sqrt{301}}{6}\) et seulement la deuxième est valable.
Est-ce plus clair ?
pour la b, il faut résoudre l'inéquation \(x^2-2x>0\) pour avoir le domaine de définition de l'équation.
Avec, un discriminant ou un tableau de signe, tu as \(\mathcal{D}=]-\infty\,;\,0[\cup]2\,;\,+\infty[\) et tes deux solutions \(1-\sqrt{5}\,,\,1+\sqrt{5}\) sont bien dans ce domaine et sont valables.
Pour la d), Il faut que tu aies \(3x-1>0\) et \(x>0\), ce qui donne \(\mathcal{D}=\left]\dfrac{1}{3}\,;\,+\infty\right[\) et tu as ensuite deux solutions \(\dfrac{1-\sqrt{301}}{6}\,,\, \dfrac{1+\sqrt{301}}{6}\) et seulement la deuxième est valable.
Est-ce plus clair ?
-
Hervé
Re: logarithme
Tout à fait c'est pas clair pour la d mais je me suis trompée pour l' inéquation de la b et je n'arrive pas à la résoudre comme il faut
-
sos-math(21)
- Messages : 10401
- Enregistré le : lun. 30 août 2010 11:15
Re: logarithme
Pour la b, tu dois résoudre l'inéquation \(x^2-2x>0\).
Soit tu fais un discriminant et tu trouves \(\Delta= 4\) avec deux racines \(x_1=0\) et \(x_2=2\) et tu obtiens que le trinôme est positif à l'extérieur des racines donc on a bien \(\mathcal{D}=]-\infty\,;\,0[\cup]2\,;\,+\infty[\)
Sinon, tu factorises \(x^2-2x=x(x-2)\) et tu fais un tableau de signes qui te mènera à la même conclusion.
Pour le d, tu dois résoudre \(3x-1>0\) et \(x>0\) et regarder les solutions communes à ces deux inéquations.
Il faut donc faire l'intersection de \(\left]\dfrac{1}{3}\,;\,+\infty\right[\) et \(]0\,;\,+\infty[\).
Si tu colories ces deux intervalles sur une même droite numérique, l'intersection correspond à ce qui est colorié deux fois : c'est seulement à partir de \(\dfrac{1}{3}\) donc \(\left]\dfrac{1}{3}\,;\,+\infty\right[\cap]0\,;\,+\infty[=\left]\dfrac{1}{3}\,;\,+\infty\right[\).
Est-ce plus clair ?
Soit tu fais un discriminant et tu trouves \(\Delta= 4\) avec deux racines \(x_1=0\) et \(x_2=2\) et tu obtiens que le trinôme est positif à l'extérieur des racines donc on a bien \(\mathcal{D}=]-\infty\,;\,0[\cup]2\,;\,+\infty[\)
Sinon, tu factorises \(x^2-2x=x(x-2)\) et tu fais un tableau de signes qui te mènera à la même conclusion.
Pour le d, tu dois résoudre \(3x-1>0\) et \(x>0\) et regarder les solutions communes à ces deux inéquations.
Il faut donc faire l'intersection de \(\left]\dfrac{1}{3}\,;\,+\infty\right[\) et \(]0\,;\,+\infty[\).
Si tu colories ces deux intervalles sur une même droite numérique, l'intersection correspond à ce qui est colorié deux fois : c'est seulement à partir de \(\dfrac{1}{3}\) donc \(\left]\dfrac{1}{3}\,;\,+\infty\right[\cap]0\,;\,+\infty[=\left]\dfrac{1}{3}\,;\,+\infty\right[\).
Est-ce plus clair ?
-
Hervé
Re: logarithme
Oui merci beaucoup.
-
sos-math(21)
- Messages : 10401
- Enregistré le : lun. 30 août 2010 11:15
Re: logarithme
Dans ce cas, je te laisse terminer tes résolutions.
Bonne continuation
Bonne continuation
