IPP (intégration & dérivation)

Retrouver tous les sujets résolus.
Répondre
Terminale_S

IPP (intégration & dérivation)

Message par Terminale_S » jeu. 9 juil. 2020 12:55

Bonjour,

Je voudrais poser une petite question sur les IPP, est ce que c'est possible ? Est ce que le site est toujours ouvert ? (je reste sur des notions vu en classe de Terminale S, càd intégration et dérivation).

Merci
sos-math(21)
Messages : 10401
Enregistré le : lun. 30 août 2010 11:15

Re: IPP (intégration & dérivation)

Message par sos-math(21) » jeu. 9 juil. 2020 13:01

Bonjour
Oui c’est possible mais il faudra faire vite car le site ferme demain soir et ne rouvre que fin août
Bonne continuation
Terminale_S

Re: IPP (intégration & dérivation)

Message par Terminale_S » jeu. 9 juil. 2020 14:26

Bonjour SOS-21, content de vous "revoir".

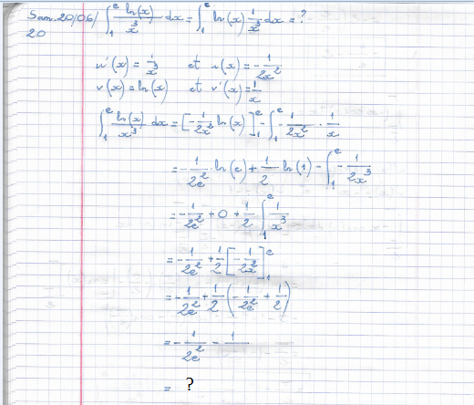
Après avoir étudié les IPP début juin, j'ai voulu m'exercer un peu. J'ai fait pas mal d'exercices, sans trop avoir de difficultés...puis je suis tombé sur celui en pièce jointe. Je pense avoir fait une erreur, c'est sur, mais je ne sais pas où ? J'ai fait, refait, re-refait, en essayant de chercher l'erreur tout seul, mais je ne la trouve pas.
Pouvez vous y jeter un coup d'oeil s'il vous plait ?

Merci Sos-21
Fichiers joints
Devoir.png
énoncé.png
sos-math(21)
Messages : 10401
Enregistré le : lun. 30 août 2010 11:15

Re: IPP (intégration & dérivation)

Message par sos-math(21) » jeu. 9 juil. 2020 20:08

Bonjour,
Ton calcul est correct jusqu'à la dernière ligne complète : \(I=\dfrac{-1}{2\text{e}^2}+\dfrac{1}{2}\left(\dfrac{-1}{2\text{e}^2}+\dfrac{1}{2}\right)\)
En développant le second terme, tu as \(I=\dfrac{-1}{2\text{e}^2}+\dfrac{-1}{4\text{e}^2}+\dfrac{1}{4}\)
En mettant tout au même dénominateur \(4\text{e}^2\), on a \(I=\dfrac{-2}{4\text{e}^2}+\dfrac{-1}{4\text{e}^2}+\dfrac{\text{e}^2}{4\text{e}^2}\)
soit \(I=\dfrac{-3+\text{e}^2}{4\text{e}^2}\), ce qui correspond à la première réponse de ton qcm.
Donc tu n'avais pas fait d'erreur, il fallait juste aller au bout des calculs.
Bonne continuation
Terminale_S

Re: IPP (intégration & dérivation)

Message par Terminale_S » ven. 10 juil. 2020 13:06

Ahhhhhhh c'était tout simple en fait !
J'ai arrêté mon calcul car j'ai vu qu'il n'y avait pas de e au numérateur, contrairement aux propositions du QCM... c'est bête.

Merci de m'avoir aidé,
Bonnes vacances SOS-21,
A bientot, j'espère !
sos-math(21)
Messages : 10401
Enregistré le : lun. 30 août 2010 11:15

Re: IPP (intégration & dérivation)

Message par sos-math(21) » ven. 10 juil. 2020 13:34

Bonjour,
tant mieux si cela a permis de débloquer ta résolution.
Bonnes vacances
Sos-math
Répondre