Ex complexe
-
Yessine
Ex complexe
Bonjour,
Ex: je comprends comment caractériser f
mais je ne comprends pas dans la correction comment il détermine une équation de la droite (D') image de la droite (D) par f
pouvez vous m'aider?
Merci d'avance (si c'est possible expliquer chaque cas séparément)
Ex: je comprends comment caractériser f
mais je ne comprends pas dans la correction comment il détermine une équation de la droite (D') image de la droite (D) par f
pouvez vous m'aider?
Merci d'avance (si c'est possible expliquer chaque cas séparément)
-
sos-math(21)
- Messages : 10401
- Enregistré le : lun. 30 août 2010 11:15
Re: Ex complexe
Bonjour,
pour déterminer l'image de la droite \((D)\) d'équation \(y=x\), il cherche à obtenir un maximum d'informations sur celle-ci en calculant selon les cas des images de points ou de vecteurs directeurs afin de caractériser au mieux cette image :
Dans le premier cas, on a une translation de vecteur d'affixe \(1+i\) qui est un vecteur directeur de \((D)\) donc celle-ci est invariante par cette translation donc \(f(D)=D\)
Dans le deuxième cas, il s'agit d'une symétrie centrale de centre A d'affixe \(\dfrac{1}{2}\) donc celle-ci transforme \((D)\) en une droite parallèle passant par l'image d'un point de \((D)\), par exemple l'image de \(O\) qui est le point \(O'\) d'affixe 1. La droite \((D')\) est donc la parallèle à la droite \((D)\) d'équation \(y=x\) donc elle a le même coefficient directeur, son équation s'écrit alors \(y=x+b\). Sachant qu'elle passe par \(O'(1\,;\,0)\), on a \(b=-1\) donc \(y=x-1\).
Pour le troisième cas, c'est une rotation de centre B d'affixe \(1{,5}+0{,}5i\) et d'angle \(\dfrac{\pi}{2}\) donc l'image de \((D)\) fera un angle droit avec \((D)\) et passera par l'image de \(O\) qui est le point \(O'\) d'affixe \(2-i\). Lorsque deux droites sont perpendiculaires, le produit de leurs coefficients directeurs est égal à \(-1\) (conséquence du produit scalaire nul des vecteurs directeurs), donc \((D')\) a pour équation \(y=-x+b\). Comme elle passe par \(O'(2\,;\,-1)\) on en déduit que \(y=-x+1\).
Pour le dernier cas, c'est une similitude de la forme \(z'=az+b\) avec \(|a|=1\) donc c'est une rotation, dont on cherche le point fixe qui aura pour affixe \(\dfrac{b} {1-a}=2\) et cette rotation aura pour angle \(arg(a)=\dfrac{2\pi}{3}\).
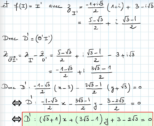
Comme c'est un peut plus compliqué au niveau de l'expression, on recherche l'image de deux points de la droite \((D)\) : \(O'(3\,;\,-\sqrt{3})\) et \(I'\left(\dfrac{5-\sqrt{3}}{2}\,;\,\dfrac{\sqrt{3}-1}{2}\right)\) et on calcule le vecteur \(\overrightarrow{O'I'}\) qui sera alors un vecteur directeur de \((D')\).
Ainsi on a la droite \((D')\) qui passe par \(O'(3\,;\,-\sqrt{3})\) et de vecteur directeur \(\overrightarrow{O'I'}\begin{pmatrix}\dfrac{-1-\sqrt{3}}{2}\\\dfrac{3\sqrt{3}-1}{2}\end{pmatrix}\).
Cela signifie que si on prend un point \(M(x\,;\,y)\) du plan, celui-ci appartient à \((D')\) si et seulement si les vecteurs \(\overrightarrow{O'M}\begin{pmatrix}x-3\\y+\sqrt{3}\end{pmatrix}\) et \(\overrightarrow{O'I'}\begin{pmatrix}\dfrac{-1-\sqrt{3}}{2}\\\dfrac{3\sqrt{3}-1}{2}\end{pmatrix}\) sont colinéaires.
Le déterminant de ces deux vecteurs doit donc être nul, ce qui mène à l'équation.
Est-ce plus clair ?
Bonne continuation
pour déterminer l'image de la droite \((D)\) d'équation \(y=x\), il cherche à obtenir un maximum d'informations sur celle-ci en calculant selon les cas des images de points ou de vecteurs directeurs afin de caractériser au mieux cette image :
Dans le premier cas, on a une translation de vecteur d'affixe \(1+i\) qui est un vecteur directeur de \((D)\) donc celle-ci est invariante par cette translation donc \(f(D)=D\)
Dans le deuxième cas, il s'agit d'une symétrie centrale de centre A d'affixe \(\dfrac{1}{2}\) donc celle-ci transforme \((D)\) en une droite parallèle passant par l'image d'un point de \((D)\), par exemple l'image de \(O\) qui est le point \(O'\) d'affixe 1. La droite \((D')\) est donc la parallèle à la droite \((D)\) d'équation \(y=x\) donc elle a le même coefficient directeur, son équation s'écrit alors \(y=x+b\). Sachant qu'elle passe par \(O'(1\,;\,0)\), on a \(b=-1\) donc \(y=x-1\).
Pour le troisième cas, c'est une rotation de centre B d'affixe \(1{,5}+0{,}5i\) et d'angle \(\dfrac{\pi}{2}\) donc l'image de \((D)\) fera un angle droit avec \((D)\) et passera par l'image de \(O\) qui est le point \(O'\) d'affixe \(2-i\). Lorsque deux droites sont perpendiculaires, le produit de leurs coefficients directeurs est égal à \(-1\) (conséquence du produit scalaire nul des vecteurs directeurs), donc \((D')\) a pour équation \(y=-x+b\). Comme elle passe par \(O'(2\,;\,-1)\) on en déduit que \(y=-x+1\).
Pour le dernier cas, c'est une similitude de la forme \(z'=az+b\) avec \(|a|=1\) donc c'est une rotation, dont on cherche le point fixe qui aura pour affixe \(\dfrac{b} {1-a}=2\) et cette rotation aura pour angle \(arg(a)=\dfrac{2\pi}{3}\).
Comme c'est un peut plus compliqué au niveau de l'expression, on recherche l'image de deux points de la droite \((D)\) : \(O'(3\,;\,-\sqrt{3})\) et \(I'\left(\dfrac{5-\sqrt{3}}{2}\,;\,\dfrac{\sqrt{3}-1}{2}\right)\) et on calcule le vecteur \(\overrightarrow{O'I'}\) qui sera alors un vecteur directeur de \((D')\).
Ainsi on a la droite \((D')\) qui passe par \(O'(3\,;\,-\sqrt{3})\) et de vecteur directeur \(\overrightarrow{O'I'}\begin{pmatrix}\dfrac{-1-\sqrt{3}}{2}\\\dfrac{3\sqrt{3}-1}{2}\end{pmatrix}\).
Cela signifie que si on prend un point \(M(x\,;\,y)\) du plan, celui-ci appartient à \((D')\) si et seulement si les vecteurs \(\overrightarrow{O'M}\begin{pmatrix}x-3\\y+\sqrt{3}\end{pmatrix}\) et \(\overrightarrow{O'I'}\begin{pmatrix}\dfrac{-1-\sqrt{3}}{2}\\\dfrac{3\sqrt{3}-1}{2}\end{pmatrix}\) sont colinéaires.
Le déterminant de ces deux vecteurs doit donc être nul, ce qui mène à l'équation.
Est-ce plus clair ?
Bonne continuation
-
Yessine
Re: Ex complexe
Oui c'est beaucoup plus clair merci beaucoup.
-
sos-math(21)
- Messages : 10401
- Enregistré le : lun. 30 août 2010 11:15
Re: Ex complexe
Bonsoir,
une autre méthode avait été proposée par un visiteur mais, étant donné qu'il se permet de juger la qualité ou la clarté des réponses fournies par les modérateurs de ce forum, je n'ai pas pu approuver ses messages.
Je rappelle que ce forum est administré et modéré par des enseignants du second degré, en activité dans l'académie de Poitiers, et qui ont été désignés par l'inspection pédagogique régionale de mathématiques, seule autorité compétente pour évaluer et juger leurs compétences.
Nous ne prétendons pas apporter les meilleures réponses en toutes circonstances et nous sommes ouverts aux autres propositions, lorsque celles-ci sont proposées dans le respect des règles de courtoisie attendues sur ce site.
Cependant, en tant que modérateurs, nous avons aussi le droit de ne pas valider les propositions d'internautes, le principe du forum étant que des élèves/internautes posent des questions à des professeurs modérateurs et que ces professeurs leur répondent. Des propositions alternatives venant d'autres visiteurs viennent en supplément du fonctionnement de base et n'ont pas vocation à être toutes publiées.
Ces règles de base sont celles de ce forum et nous ne forçons personne à le fréquenter. Si des visiteurs ne sont pas d'accord avec ce fonctionnement, il existe d'autres plateformes web qui correspondront peut être davantage à leurs attentes.
Comptant sur la compréhension de tous nos visiteurs.
sos-math
une autre méthode avait été proposée par un visiteur mais, étant donné qu'il se permet de juger la qualité ou la clarté des réponses fournies par les modérateurs de ce forum, je n'ai pas pu approuver ses messages.
Je rappelle que ce forum est administré et modéré par des enseignants du second degré, en activité dans l'académie de Poitiers, et qui ont été désignés par l'inspection pédagogique régionale de mathématiques, seule autorité compétente pour évaluer et juger leurs compétences.
Nous ne prétendons pas apporter les meilleures réponses en toutes circonstances et nous sommes ouverts aux autres propositions, lorsque celles-ci sont proposées dans le respect des règles de courtoisie attendues sur ce site.
Cependant, en tant que modérateurs, nous avons aussi le droit de ne pas valider les propositions d'internautes, le principe du forum étant que des élèves/internautes posent des questions à des professeurs modérateurs et que ces professeurs leur répondent. Des propositions alternatives venant d'autres visiteurs viennent en supplément du fonctionnement de base et n'ont pas vocation à être toutes publiées.
Ces règles de base sont celles de ce forum et nous ne forçons personne à le fréquenter. Si des visiteurs ne sont pas d'accord avec ce fonctionnement, il existe d'autres plateformes web qui correspondront peut être davantage à leurs attentes.
Comptant sur la compréhension de tous nos visiteurs.
sos-math
