DM de Maths
-
Nathan
DM de Maths
Bonjour,
C'est encore moi, Nathan... Déjà je voulais vous remercier pour l'aide que vous m'avez apportée pour mon ancien travail.
J'ai un nouveau DM de Maths qui me pose des difficultés, je ne sais pas à qui m'adresser, je ne sais pas comment m'en sortir...
C'est un DM sur du dénombrement (listes, permutations...). Pensez-vous pouvoir m'aider ?
J'espère que oui, je suis vraiment perdu...
Merci beaucoup.
Bonne semaine.
C'est encore moi, Nathan... Déjà je voulais vous remercier pour l'aide que vous m'avez apportée pour mon ancien travail.
J'ai un nouveau DM de Maths qui me pose des difficultés, je ne sais pas à qui m'adresser, je ne sais pas comment m'en sortir...
C'est un DM sur du dénombrement (listes, permutations...). Pensez-vous pouvoir m'aider ?
J'espère que oui, je suis vraiment perdu...
Merci beaucoup.
Bonne semaine.
-
sos-math(21)
- Messages : 10401
- Enregistré le : lun. 30 août 2010 11:15
Re: DM de Maths
Bonjour,
tu peux toujours envoyer ton énoncé et nous dire où tu bloques, nous tâcherons de t'aider.
Bonne continuation
tu peux toujours envoyer ton énoncé et nous dire où tu bloques, nous tâcherons de t'aider.
Bonne continuation
-
Nathan
Re: DM de Maths
Bonsoir,
Merci pour la réponse.
J'espère avoir réussi la partie A, mais c'est la partie B qui me pose problème...
Je vous joins l'énoncé ainsi que les méthodes distribuées par la professeure, mon problème c'est que je n'arrive pas à trouver quelle méthode choisir...
Merci d'avance pour l'aide, j'en ai vraiment besoin...
Bonne journée.
Merci pour la réponse.
J'espère avoir réussi la partie A, mais c'est la partie B qui me pose problème...
Je vous joins l'énoncé ainsi que les méthodes distribuées par la professeure, mon problème c'est que je n'arrive pas à trouver quelle méthode choisir...
Merci d'avance pour l'aide, j'en ai vraiment besoin...
Bonne journée.
-
sos-math(21)
- Messages : 10401
- Enregistré le : lun. 30 août 2010 11:15
Re: DM de Maths
Bonjour,
Pour la liste de permutations ayant exactement 3 points fixes, je te laisse faire, il faut d'abord fixer les 3 points parmi les 5 ce qui te fait \(\binom{5}{3}\) possibilités puis les deux autres valeurs n'ont pas d'autres choix que d'être inversés pour avoir exactement 3 points fixes donc cela te donne \(\binom{5}{3}\) permutations.
On peut généraliser le problème pour \(n\), si on veut \(n-2\) point fixes, il faut d'abord choisir ces \(n-2\) valeurs parmi \(n\) soit \(\binom{n}{n-2}\) puis échanger les deux valeurs restantes donc il n'y a qu'un choix. Ce qui nous donne \(\binom{n}{n-2}\) qui est aussi égal à \(\binom{n}{2}\)
Pour \(n-3\) c'est le même problème il te restera à 3 valeurs à répartir sans qu'elles retombent sur elles-mêmes pour ne pas créer de point fixe supplémentaire : cela correspond au nombre de dérangements dans un ensemble à 3 éléments : on a donc \(\binom{n}{3}\times 2\).
Pour \(n-k\) points fixes, il faut d'abord choisir les \(n-k\) points fixes parmi les \(n\) donc \(\binom{n}{n-k}=\binom{n}{k}\) possibilités puis il restera à envoyer les \(k\) valeurs restantes sans qu'elles créent de nouveaux points fixes, donc il s'agit de prendre les dérangements d'une liste à \(k\) éléments donc on retrouve bien \(\binom{n}{k}d_k\).
Voilà pour le début
Pour la liste de permutations ayant exactement 3 points fixes, je te laisse faire, il faut d'abord fixer les 3 points parmi les 5 ce qui te fait \(\binom{5}{3}\) possibilités puis les deux autres valeurs n'ont pas d'autres choix que d'être inversés pour avoir exactement 3 points fixes donc cela te donne \(\binom{5}{3}\) permutations.
On peut généraliser le problème pour \(n\), si on veut \(n-2\) point fixes, il faut d'abord choisir ces \(n-2\) valeurs parmi \(n\) soit \(\binom{n}{n-2}\) puis échanger les deux valeurs restantes donc il n'y a qu'un choix. Ce qui nous donne \(\binom{n}{n-2}\) qui est aussi égal à \(\binom{n}{2}\)
Pour \(n-3\) c'est le même problème il te restera à 3 valeurs à répartir sans qu'elles retombent sur elles-mêmes pour ne pas créer de point fixe supplémentaire : cela correspond au nombre de dérangements dans un ensemble à 3 éléments : on a donc \(\binom{n}{3}\times 2\).
Pour \(n-k\) points fixes, il faut d'abord choisir les \(n-k\) points fixes parmi les \(n\) donc \(\binom{n}{n-k}=\binom{n}{k}\) possibilités puis il restera à envoyer les \(k\) valeurs restantes sans qu'elles créent de nouveaux points fixes, donc il s'agit de prendre les dérangements d'une liste à \(k\) éléments donc on retrouve bien \(\binom{n}{k}d_k\).
Voilà pour le début
-
Nathan
Re: DM de Maths
Merci pour votre réponse, j'en avais vraiment besoin...
Je ne suis pas sûr d'avoir compris pourquoi quand vous dites "il faut d'abord fixer les 3 points parmi les 5", que cela fait (3 5) possibilités...
Je connais bien la définition du coefficient binomial : Le coefficient binomial est défini comme le nombre de chemins conduisant à k succès, mais je ne vois pas pourquoi cela fait (3 5) possibilités...
Ensuite, malheureusement, je ne comprends pas le lien entre "puis les deux autres valeurs n'ont pas d'autres choix que d'être inversés pour avoir exactement 3 points fixes" (déjà je ne comprends pas ça...) et la conclusion : "donc cela te donne (53) permutations".
Je suis vraiment désolé, j'espère que vous pourrez m'aider...
Merci encore.
Je ne suis pas sûr d'avoir compris pourquoi quand vous dites "il faut d'abord fixer les 3 points parmi les 5", que cela fait (3 5) possibilités...
Je connais bien la définition du coefficient binomial : Le coefficient binomial est défini comme le nombre de chemins conduisant à k succès, mais je ne vois pas pourquoi cela fait (3 5) possibilités...
Ensuite, malheureusement, je ne comprends pas le lien entre "puis les deux autres valeurs n'ont pas d'autres choix que d'être inversés pour avoir exactement 3 points fixes" (déjà je ne comprends pas ça...) et la conclusion : "donc cela te donne (53) permutations".
Je suis vraiment désolé, j'espère que vous pourrez m'aider...
Merci encore.
-
Nathan
Re: DM de Maths
Il y a aussi trois autres parties dans ce DM...
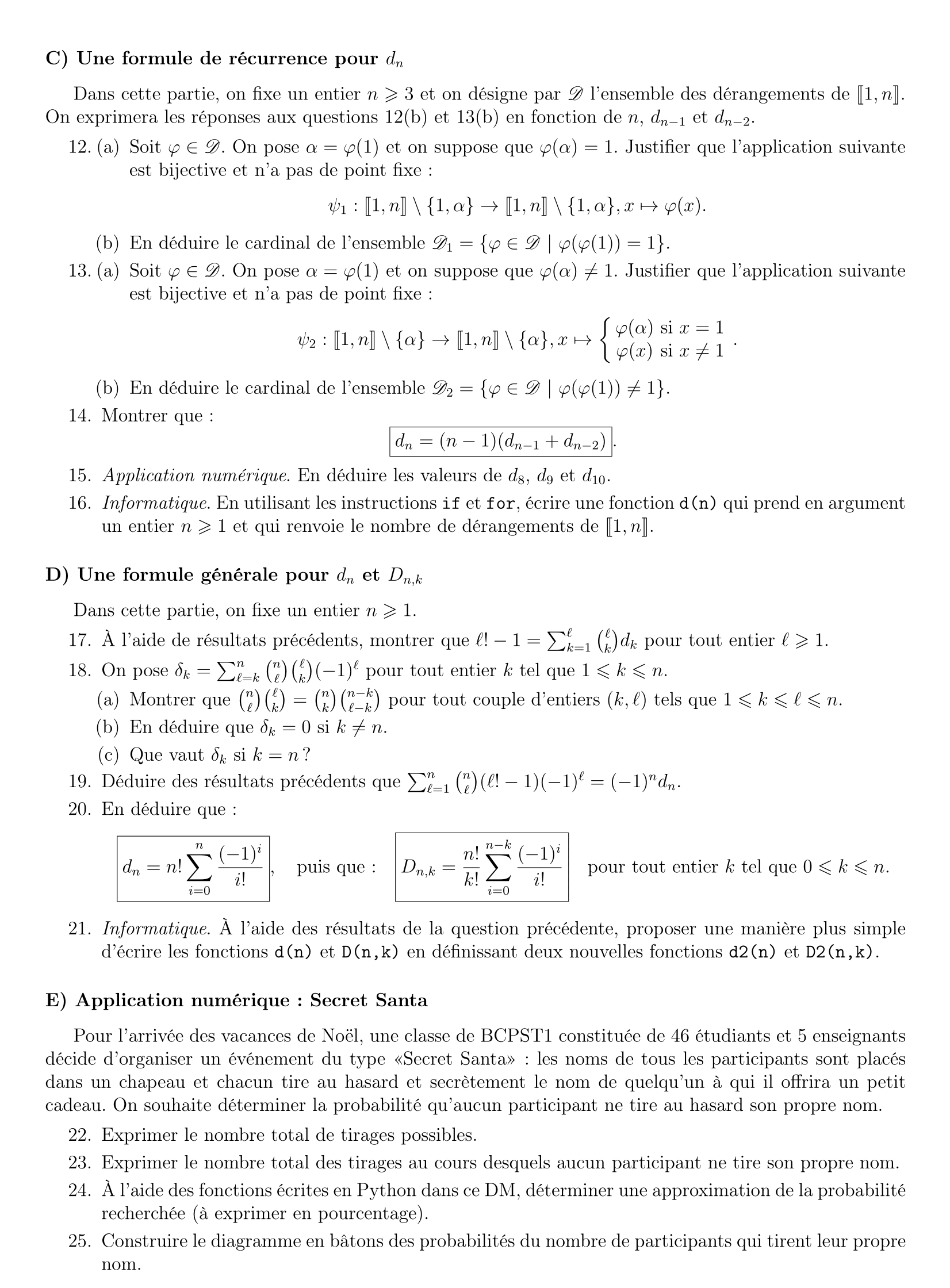
J'ai réussi la question 12.a, mais comment faire les questions 12.b, 13, 14, et 22 ?
Si vous pouviez me mettre sur la voie, ce serait vraiment bien ! Car j'y ai passé le week-end, et je n'y arrive vraiment pas...
Merci beaucoup, bonne semaine.
J'ai réussi la question 12.a, mais comment faire les questions 12.b, 13, 14, et 22 ?
Si vous pouviez me mettre sur la voie, ce serait vraiment bien ! Car j'y ai passé le week-end, et je n'y arrive vraiment pas...
Merci beaucoup, bonne semaine.
-
sos-math(27)
- Messages : 1427
- Enregistré le : ven. 20 juin 2014 15:58
Re: DM de Maths
Pour la suite du devoir, c'est un peu plus délicat ... Je dois encore réfléchir.
Peux tu expliquer ce que tu as fait à la question 12 a) ?
à bientôt
Peux tu expliquer ce que tu as fait à la question 12 a) ?
à bientôt
-
Nathan
Re: DM de Maths
Merci pour la réponse.
Je suis en pause-déjeuner jusqu'à 12h45 et je vous expliquerai donc ce soir ce que j'ai fait pour la 12.
Avez-vous éventuellement des idées pour la dernière partie ?
Car je n'arrive pas à appliquer le reste du DM dans les questions de la partie E... Et vous ?
Merci encore pour l'aide.
Je suis en pause-déjeuner jusqu'à 12h45 et je vous expliquerai donc ce soir ce que j'ai fait pour la 12.
Avez-vous éventuellement des idées pour la dernière partie ?
Car je n'arrive pas à appliquer le reste du DM dans les questions de la partie E... Et vous ?
Merci encore pour l'aide.
-
sos-math(21)
- Messages : 10401
- Enregistré le : lun. 30 août 2010 11:15
Re: DM de Maths
Bonjour,
La dernière partie est une application de ce qui a été fait avant.
Un tirage au sort d'un prénom dans un chapeau correspond à une permutation donc il y a .. tirages distincts.
Un tirage au sort sans que personne ne retombe sur son propre nom correspond à un dérangement : on a calculé leur nombre dans la partie précédente \(d_n=D_{n,0}\)
Pour le programme Python, il s'agit de retranscrire les formules établies sous forme de programme.
Bonne continuation
PS : ce devoir n'est pas d'un niveau de Terminale, tu ne serais pas en prépa, disons BCPST ?
La dernière partie est une application de ce qui a été fait avant.
Un tirage au sort d'un prénom dans un chapeau correspond à une permutation donc il y a .. tirages distincts.
Un tirage au sort sans que personne ne retombe sur son propre nom correspond à un dérangement : on a calculé leur nombre dans la partie précédente \(d_n=D_{n,0}\)
Pour le programme Python, il s'agit de retranscrire les formules établies sous forme de programme.
Bonne continuation
PS : ce devoir n'est pas d'un niveau de Terminale, tu ne serais pas en prépa, disons BCPST ?
-
Nathan
Re: DM de Maths
Effectivement je suis en prépa, mais je trouve de l'aide nul part...
Comme je sais que vous aidez en priorité les lycéens, j'ai une dernière question :
Comment répondre à la question 13.a ?
Merci encore pour l'aide, bonne soirée.
Comme je sais que vous aidez en priorité les lycéens, j'ai une dernière question :
Comment répondre à la question 13.a ?
Merci encore pour l'aide, bonne soirée.
-
SoS-Math(25)
- Messages : 1867
- Enregistré le : mer. 2 nov. 2011 09:39
Re: DM de Maths
Bonjour Nathan,
Je n'ai pas lu tout le sujet.
Pour la 13a) :
Il faut montrer que \(\Psi_2\) est définie et injective (car deux ensembles finis de même cardinal). Pour cela il faut utiliser le fait que \(\varphi\) est bijective.
Définie :
Si \(\Psi_2(x)=\alpha\). Deux cas :
-- Si \(x=1\) alors .... contradiction
-- Si \(x\neq 1\) alors ... contradiction
Injective :
Soient \(x,y \in [\![1;n]\!] \setminus \alpha\).
Supposons que \(\Psi_2(x)=\Psi_2(y)\). Trois cas :
-- Si \(x \neq 1\) et \(y \neq 1\) alors .... \(x=y\)
-- Si \(x \neq 1\) et \(y = 1\) alors .... contradiction
-- Si \(x = 1\) et \(y \neq 1\) alors .... contradiction par symétrie du cas précédent....
J'espère avoir pu t'aider.
Bon courage
Je n'ai pas lu tout le sujet.
Pour la 13a) :
Il faut montrer que \(\Psi_2\) est définie et injective (car deux ensembles finis de même cardinal). Pour cela il faut utiliser le fait que \(\varphi\) est bijective.
Définie :
Si \(\Psi_2(x)=\alpha\). Deux cas :
-- Si \(x=1\) alors .... contradiction
-- Si \(x\neq 1\) alors ... contradiction
Injective :
Soient \(x,y \in [\![1;n]\!] \setminus \alpha\).
Supposons que \(\Psi_2(x)=\Psi_2(y)\). Trois cas :
-- Si \(x \neq 1\) et \(y \neq 1\) alors .... \(x=y\)
-- Si \(x \neq 1\) et \(y = 1\) alors .... contradiction
-- Si \(x = 1\) et \(y \neq 1\) alors .... contradiction par symétrie du cas précédent....
J'espère avoir pu t'aider.
Bon courage
-
Nathan
Re: DM de Maths
Bonsoir,
Merci pour l'aide ! J'ai pu rendre mon travail.
Une petite question : tenez-vous ce forum bénévolement ? Ce site est vraiment très bien !)
Bon WE.
Merci pour l'aide ! J'ai pu rendre mon travail.
Une petite question : tenez-vous ce forum bénévolement ? Ce site est vraiment très bien !)
Bon WE.
-
SoS-Math(25)
- Messages : 1867
- Enregistré le : mer. 2 nov. 2011 09:39
Re: DM de Maths
Merci pour ce message.
A bientôt Nathan
A bientôt Nathan
