Géométrie dans l'espace
-
Thomas
Géométrie dans l'espace
Bonsoir,
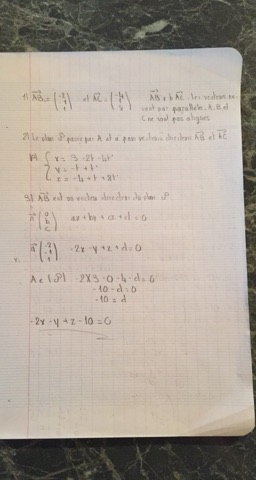
Je fais un exercice (voir ci-joint) sur la géométrie dans l'espace.
Pour la question 1, je n'ai pas eu de problèmes, c'est pour la question 2, je n'arrive pas à trouver la représentation paramétrique, car nous ne savons si A, B ou C passe par le plan P, de plus à quoi est égale sont vecteur directeur.
Voici ce que j'ai commencé.
Merci d'avance de votre aide.
A bientôt !
Je fais un exercice (voir ci-joint) sur la géométrie dans l'espace.
Pour la question 1, je n'ai pas eu de problèmes, c'est pour la question 2, je n'arrive pas à trouver la représentation paramétrique, car nous ne savons si A, B ou C passe par le plan P, de plus à quoi est égale sont vecteur directeur.
Voici ce que j'ai commencé.
Merci d'avance de votre aide.
A bientôt !
-
SoS-Math(33)
- Messages : 3588
- Enregistré le : ven. 25 nov. 2016 14:24
Re: Géométrie dans l'espace
Bonjour Thomas,
on suppose que la plan P est la plan (A,B,C).
Pour le système d’équations paramétriques il faut partir de :
M(x;y;z) \(\in\) P <=> il existe un couple (a;b) tel que \(\overrightarrow{AM} = a\overrightarrow{AB} + b\overrightarrow{AC}\)
ce qui va te donner le système
Voici une vidéo qui peut t'aider aussi.
[youtube]https://www.youtube.com/watch?v=_bs12PU0-zs[/youtube]
on suppose que la plan P est la plan (A,B,C).
Pour le système d’équations paramétriques il faut partir de :
M(x;y;z) \(\in\) P <=> il existe un couple (a;b) tel que \(\overrightarrow{AM} = a\overrightarrow{AB} + b\overrightarrow{AC}\)
ce qui va te donner le système
Voici une vidéo qui peut t'aider aussi.
[youtube]https://www.youtube.com/watch?v=_bs12PU0-zs[/youtube]
-
Thomas
Re: Géométrie dans l'espace
Bonsoir,
Merci pour votre vidéo.
Je pense avoir réussi la question.
Cependant je dois avoir un problème pour la question sur mon équation cartésienne, car j'ai essayé avec B et ça ne marche pas.
Je ne trouve pas mon erreur.
Pouvez-vous m'aider ?
A bientôt !
Merci pour votre vidéo.
Je pense avoir réussi la question.
Cependant je dois avoir un problème pour la question sur mon équation cartésienne, car j'ai essayé avec B et ça ne marche pas.
Je ne trouve pas mon erreur.
Pouvez-vous m'aider ?
A bientôt !
-
SoS-Math(33)
- Messages : 3588
- Enregistré le : ven. 25 nov. 2016 14:24
Re: Géométrie dans l'espace
Il te faut résoudre le système d'inconnues t et t' en prenant deux équations et ensuite tu reportes les valeurs trouvées dans la troisième.
Sinon pour ton erreur tu confonds vecteur normal et vecteur du plan.
Sinon pour ton erreur tu confonds vecteur normal et vecteur du plan.
-
Thomas
Re: Géométrie dans l'espace
Bonjour,
Je ne vois pas ce que vous voulez dire par [en prenant deux équations et ensuite tu reportes les valeurs trouvées dans la troisième.[/quote]
Pouvez-vous détailler ?
Merci d'avance !
Je ne vois pas ce que vous voulez dire par [en prenant deux équations et ensuite tu reportes les valeurs trouvées dans la troisième.[/quote]
Pouvez-vous détailler ?
Merci d'avance !
-
SoS-Math(33)
- Messages : 3588
- Enregistré le : ven. 25 nov. 2016 14:24
Re: Géométrie dans l'espace
Tu as le système suivant :
\(\left\{\begin{matrix}x = -2a - 4b + 3\\y = -a + b\\z = a + 8b - 4\end{matrix}\right.\)
Par exemple L2 --> -a = y - b
On remplace a dans L1 et L3 par cette expression; puis tu fait une combinaison de ces deux nouvelles lignes pour supprimer b ainsi tu obtiens une équation cartésienne pour la droite.
\(\left\{\begin{matrix}x = -2a - 4b + 3\\y = -a + b\\z = a + 8b - 4\end{matrix}\right.\)
Par exemple L2 --> -a = y - b
On remplace a dans L1 et L3 par cette expression; puis tu fait une combinaison de ces deux nouvelles lignes pour supprimer b ainsi tu obtiens une équation cartésienne pour la droite.
-
Thomas
Re: Géométrie dans l'espace
Bonjour j'ai trouvé la combinaison L1 + L3, mais je ne vois pas comment l'appliquer ...
-
SoS-Math(33)
- Messages : 3588
- Enregistré le : ven. 25 nov. 2016 14:24
Re: Géométrie dans l'espace
Quand tu calcules L3+ 3/2 L1 ça te donne une équation avec x, y et z .
Pour simplifier ton calcul tu peux aussi faire 2L3 + 3L1.
Je pense que tu as du faire une erreur dans tes calculs.
Pour simplifier ton calcul tu peux aussi faire 2L3 + 3L1.
Je pense que tu as du faire une erreur dans tes calculs.
-
Thomas
Re: Géométrie dans l'espace
Je n'arrive toujours pas à continuer.
Voici ce que j'ai fait ...
Voici ce que j'ai fait ...
-
SoS-Math(33)
- Messages : 3588
- Enregistré le : ven. 25 nov. 2016 14:24
Re: Géométrie dans l'espace
Tu as :
\(L1 : x = 3 + 2y - 6b\)
\(L3 : z = -4 - y + 9b\)
\(3L1 + 2L3 : 3x + 2z = 9 + 6y - 18b - 8 - 2y + 18b\)
ce qui donne \(3x + 2z -9 - 6y + 8 + 2y = 0\) soit \(3x - 4y + 2z - 1 = 0\) qui est l'équation cartésienne de la droite.
\(L1 : x = 3 + 2y - 6b\)
\(L3 : z = -4 - y + 9b\)
\(3L1 + 2L3 : 3x + 2z = 9 + 6y - 18b - 8 - 2y + 18b\)
ce qui donne \(3x + 2z -9 - 6y + 8 + 2y = 0\) soit \(3x - 4y + 2z - 1 = 0\) qui est l'équation cartésienne de la droite.
-
Thomas
Re: Géométrie dans l'espace
Bonsoir,
Je fais un nouvel exercice sur la géométrie dans l'espace, et je sèche un peu.
Voici l'exercice et ce que j'ai commencé.
J'ai fais quelques opérations de cours mais je n'arrive pas à résoudre l'exercice.
Merci d'avance de votre aide.
Je fais un nouvel exercice sur la géométrie dans l'espace, et je sèche un peu.
Voici l'exercice et ce que j'ai commencé.
J'ai fais quelques opérations de cours mais je n'arrive pas à résoudre l'exercice.
Merci d'avance de votre aide.
-
SoS-Math(33)
- Messages : 3588
- Enregistré le : ven. 25 nov. 2016 14:24
Re: Géométrie dans l'espace
Auparavant, as tu compris pour l'exercice précédent?
Pour ton nouvel exercice,
Si un point du plan appartient à (Ox) il a ses coordonnées de la forme (x ; 0 ; 0)
donc l'intersection avec P donne comme équation .....
je te laisse poursuivre
Pour ton nouvel exercice,
Si un point du plan appartient à (Ox) il a ses coordonnées de la forme (x ; 0 ; 0)
donc l'intersection avec P donne comme équation .....
je te laisse poursuivre
-
Thomas
Re: Géométrie dans l'espace
Tout d'abord, oui, j'avais compris l'exercice précédent, c'est cette étape qui me déranger : 3x+2z, je ne pensais pas qu'il fallait multiplier ces facteurs.
Pour le nouvel exercice, dois-je résoudre l'équation 3x-12 = 0 ?
Cela ne m'aidera pas pour trouver le point d'intersection ?
Pour le nouvel exercice, dois-je résoudre l'équation 3x-12 = 0 ?
Cela ne m'aidera pas pour trouver le point d'intersection ?
-
SoS-Math(33)
- Messages : 3588
- Enregistré le : ven. 25 nov. 2016 14:24
Re: Géométrie dans l'espace
Quand tu fais une opération sur une ligne tu fais aux deux membres de l'égalité.
Oui c'est bien cela, tu dois résoudre 3x - 12 = 0, ce qui donne x = 4
Ainsi tu auras les coordonnées du point d'intersection du plan avec (Ox) à savoir (4 ; 0 ; 0) puisque tu sais que y=0 et z=0 .
Maintenant sur le même principe tu dois chercher l'intersection avec (Oy) puis avec (Oz).
Oui c'est bien cela, tu dois résoudre 3x - 12 = 0, ce qui donne x = 4
Ainsi tu auras les coordonnées du point d'intersection du plan avec (Ox) à savoir (4 ; 0 ; 0) puisque tu sais que y=0 et z=0 .
Maintenant sur le même principe tu dois chercher l'intersection avec (Oy) puis avec (Oz).
-
Thomas
Re: Géométrie dans l'espace
Bonsoir,
Je pense avoir fini l'exercice.
Qu'en pensez-vous ?
Je pense avoir fini l'exercice.
Qu'en pensez-vous ?
