Géométrie dans l'espace
-
Thomas
Géométrie dans l'espace
Bonjour,
Je fais un exercice sur la géométrie dans l'espace,et je n'arrive pas à faire la question 2 de cet exercice.
Voici ce que j'ai commencé.
Merci d'avance de votre aide.
A bientôt.
Je fais un exercice sur la géométrie dans l'espace,et je n'arrive pas à faire la question 2 de cet exercice.
Voici ce que j'ai commencé.
Merci d'avance de votre aide.
A bientôt.
-
SoS-Math(33)
- Messages : 3588
- Enregistré le : ven. 25 nov. 2016 14:24
Re: Géométrie dans l'espace
Bonjour,
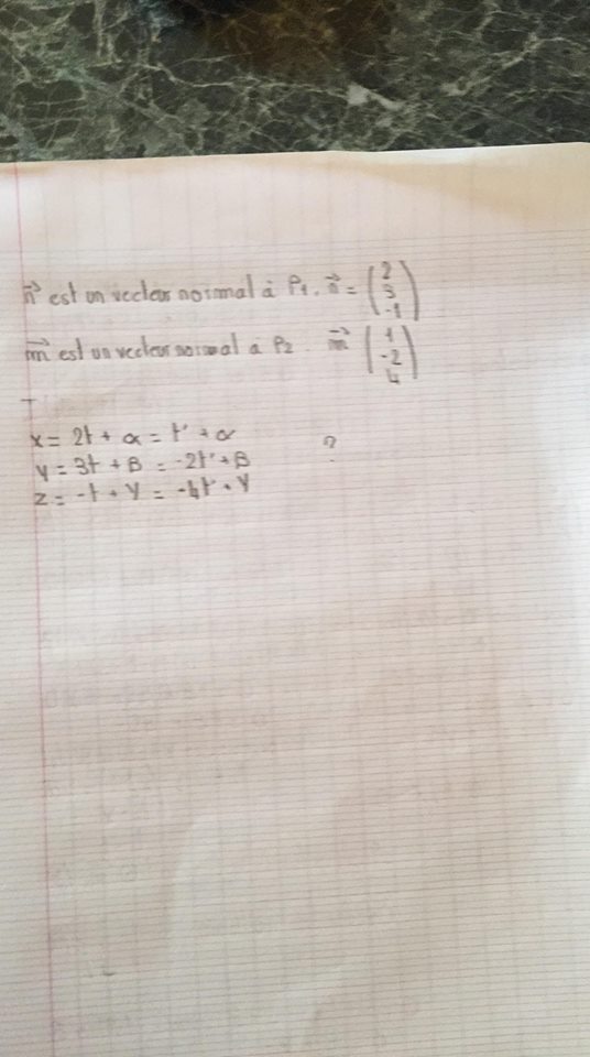
si on appelle \(\overrightarrow{n}\) un vecteur normal à P1;
P1 et P2 sont perpendiculaires ssi \(\overrightarrow{n}.\overrightarrow{m}=0\)
si on appelle \(\overrightarrow{n}\) un vecteur normal à P1;
P1 et P2 sont perpendiculaires ssi \(\overrightarrow{n}.\overrightarrow{m}=0\)
-
Thomas
Re: Géométrie dans l'espace
Faut-il donc faire cela pour les questions 2 et 3 ?
Merci de votre aide.
A bientôt.
Merci de votre aide.
A bientôt.
-
SoS-Math(33)
- Messages : 3588
- Enregistré le : ven. 25 nov. 2016 14:24
Re: Géométrie dans l'espace
Oui Thomas, ce que tu as fait est correct.
-
Thomas
Re: Géométrie dans l'espace
Bonsoir,
Je fais un nouvel exercice sur la géométrie dans l'espace, et je n'arrive pas à le finir.
Voici l'exercice et mon début de réponse.
Pouvez-vous m'éclairer ?
Merci d'avance.
Je fais un nouvel exercice sur la géométrie dans l'espace, et je n'arrive pas à le finir.
Voici l'exercice et mon début de réponse.
Pouvez-vous m'éclairer ?
Merci d'avance.
-
SoS-Math(33)
- Messages : 3588
- Enregistré le : ven. 25 nov. 2016 14:24
Re: Géométrie dans l'espace
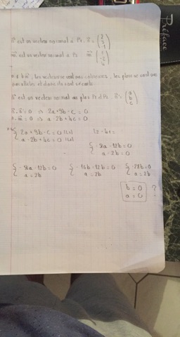
Thomas, les vecteurs normaux n'étant pas colinéaires, les deux plans ne peuvent pas être parallèles donc ils sont forcement sécants.
-
Thomas
Re: Géométrie dans l'espace
Suite à vos remarques, je fait la représentation paramétrique, mais je n'arrive pas à la faire ...
-
SoS-Math(33)
- Messages : 3588
- Enregistré le : ven. 25 nov. 2016 14:24
Re: Géométrie dans l'espace
Regarde cette vidéo pour comprendre la méthode.
[youtube]https://www.youtube.com/watch?v=IDBEI6thBPU[/youtube]
[youtube]https://www.youtube.com/watch?v=IDBEI6thBPU[/youtube]
-
Thomas
Re: Géométrie dans l'espace
J'ai regardé votre vidéo, mais je trouve des résultats assez étranges, les voici :
-
SoS-Math(33)
- Messages : 3588
- Enregistré le : ven. 25 nov. 2016 14:24
Re: Géométrie dans l'espace
Tu dois partir du système suivant :
\(\left\{ \begin{matrix} 2x+3y-z+5=0\\ x-2y+4z-3=0 \end{matrix} \right.\)
Et tu peux choisir \(x=t\) comme paramètre
\(\left\{ \begin{matrix} 2x+3y-z+5=0\\ x-2y+4z-3=0 \end{matrix} \right.\)
Et tu peux choisir \(x=t\) comme paramètre
-
Thomas
Re: Géométrie dans l'espace
Bonjour,
Je ne suis pas sûr d'avoir compris, voici ce que j'ai fait pour trouver une équation paramétrique de D, mais je ne pense pas que ce soit correct ...
Qu'en pensez-vous ?
Je ne suis pas sûr d'avoir compris, voici ce que j'ai fait pour trouver une équation paramétrique de D, mais je ne pense pas que ce soit correct ...
Qu'en pensez-vous ?
-
SoS-Math(33)
- Messages : 3588
- Enregistré le : ven. 25 nov. 2016 14:24
Re: Géométrie dans l'espace
Non ce ne semble pas correct.
On reprend les explications d'hier.
Tu as :
\(\left\{ \begin{matrix} 2x+3y-z+5=0\\ x-2y+4z-3=0 \end{matrix} \right.\)
Et tu peux choisir \(x=t\) comme paramètre.
Ainsi tu obtiens :
\(\left\{ \begin{matrix} x=t\\3y-z+5=-2t\\ -2y+4z-3=-t \end{matrix} \right.\)
Si tu remplaces L2 par 4L2+L3 tu obtiens \(10y+17=-9t\) soit \(y= \frac{-9}{10}t-\frac{17}{10}\)
Ainsi tu as :
\(\left\{ \begin{matrix} x=t\\y= \frac{-9}{10}t-\frac{17}{10}\\ -2y+4z-3=-t \end{matrix} \right.\)
Il reste à remplacer dans L3 \(y\) par son expression de L2 et tu auras \(z\) en fonction de t et donc ton équation paramétrique.
Je te laisse terminer.
On reprend les explications d'hier.
Tu as :
\(\left\{ \begin{matrix} 2x+3y-z+5=0\\ x-2y+4z-3=0 \end{matrix} \right.\)
Et tu peux choisir \(x=t\) comme paramètre.
Ainsi tu obtiens :
\(\left\{ \begin{matrix} x=t\\3y-z+5=-2t\\ -2y+4z-3=-t \end{matrix} \right.\)
Si tu remplaces L2 par 4L2+L3 tu obtiens \(10y+17=-9t\) soit \(y= \frac{-9}{10}t-\frac{17}{10}\)
Ainsi tu as :
\(\left\{ \begin{matrix} x=t\\y= \frac{-9}{10}t-\frac{17}{10}\\ -2y+4z-3=-t \end{matrix} \right.\)
Il reste à remplacer dans L3 \(y\) par son expression de L2 et tu auras \(z\) en fonction de t et donc ton équation paramétrique.
Je te laisse terminer.
-
Thomas
Re: Géométrie dans l'espace
Je pense avoir trouver l'équation paramétrique, voir bas de la photo.
Cependant, je ne vois pas comment trouver le vecteur directeur de D
Je sais juste que u = ( b ; -a)
Mais je ne vois pas ce qu'est b et a ?
Cependant, je ne vois pas comment trouver le vecteur directeur de D
Je sais juste que u = ( b ; -a)
Mais je ne vois pas ce qu'est b et a ?
-
SoS-Math(33)
- Messages : 3588
- Enregistré le : ven. 25 nov. 2016 14:24
Re: Géométrie dans l'espace
Attention Thomas, tu es dans l'espace et non le plan, il y a trois coordonnées pour le vecteur directeur.
Regarde dans ta leçon, tu dois avoir un exemple pour trouver le vecteur directeur d'une droite à partir de son équation paramétrique.
Regarde dans ta leçon, tu dois avoir un exemple pour trouver le vecteur directeur d'une droite à partir de son équation paramétrique.
-
Thomas
Re: Géométrie dans l'espace
Mon vecteur directeur est à la fin de la photo.
Est-il bon ?
Est-il bon ?
