DM
-
Justine
DM
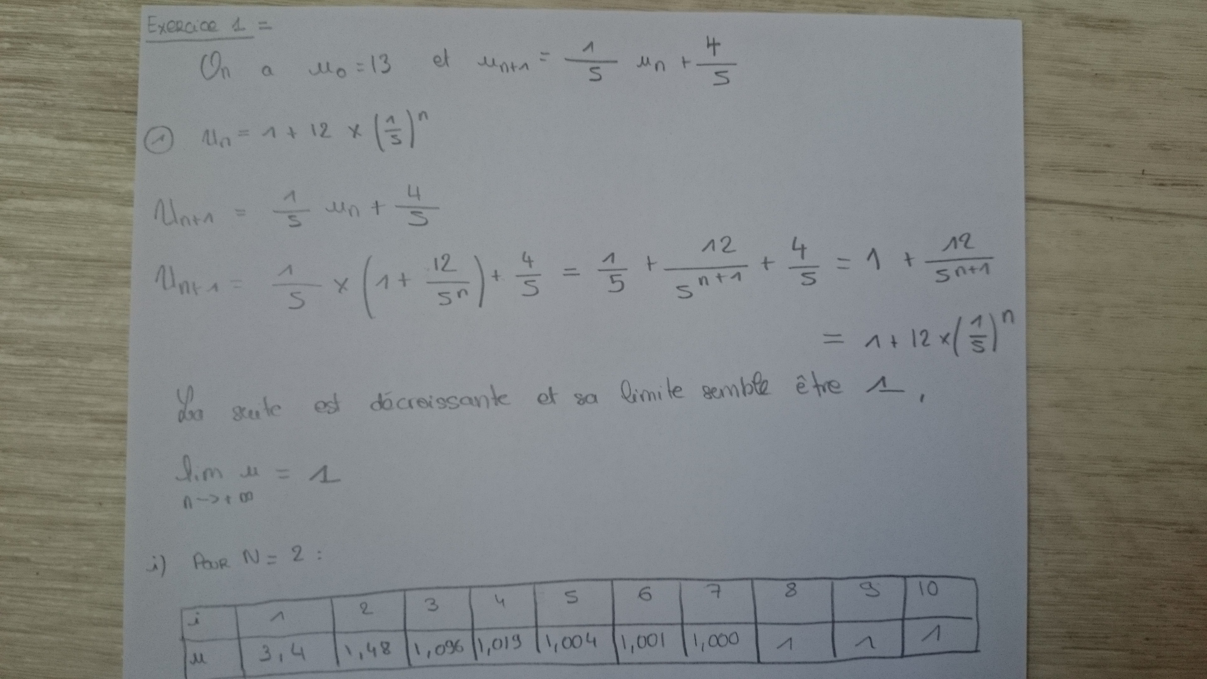
Bonjour, pour la question 2 i), je ne comprends pas la différence entre N=2 et N=4
Merci.
Merci.
- Fichiers joints
-
Scan0001.pdf- (272.48 Kio) Téléchargé 159 fois
-
sos-math(27)
- Messages : 1427
- Enregistré le : ven. 20 juin 2014 15:58
Re: DM
bonjour Justine,
Il faut faire "tourner" l'algorithme deux fois, as tu essayé de le programmer avec Algobox pour t'aider ?
Tu pourrais alors le faire tester en méthode pas à pas.
à bientôt
Il faut faire "tourner" l'algorithme deux fois, as tu essayé de le programmer avec Algobox pour t'aider ?
Tu pourrais alors le faire tester en méthode pas à pas.
à bientôt
-
Justine
Re: DM
2.i) Je n'ai pas le logiciel Algobox chez moi, est-ce possible de le faire avec le menu récurrence de la calculatrice (casio graph 35+) ? Comment faire le "N=2"(le faire tourner deux fois)
2.ii) Les variables représentent les 2 issues possibles ?
Merci pour votre aide.
2.ii) Les variables représentent les 2 issues possibles ?
Merci pour votre aide.
-
sos-math(27)
- Messages : 1427
- Enregistré le : ven. 20 juin 2014 15:58
Re: DM
Algobox est téléchargeable gratuitement : http://www.xm1math.net/algobox/download.html
Tu peux aussi le programmer sur la calculatrice, mais pas dans le menu récurrence.
Il y a aussi une solution en ligne, mais c'est un autre logigiel : http://emmanuel.ostenne.free.fr/mepirem/algo/
Les variables sont U et V; le tableau va se présenter ainsi :
|K|U|S|
|0|13|13|
|1|13/5+4/5=17/5|13+17/5|
|2|...|....|
à bientot
Tu peux aussi le programmer sur la calculatrice, mais pas dans le menu récurrence.
Il y a aussi une solution en ligne, mais c'est un autre logigiel : http://emmanuel.ostenne.free.fr/mepirem/algo/
Les variables sont U et V; le tableau va se présenter ainsi :
|K|U|S|
|0|13|13|
|1|13/5+4/5=17/5|13+17/5|
|2|...|....|
à bientot
-
Justine
Re: DM
Donc pour le suivant, ça donnerait cela ?
|K|U|S|
|0|13|13|
|1|13/5+ 4/5=17/5|13+17/5|
|2|13+17/5 +4/5=102/25|13+102/25|
|K|U|S|
|0|13|13|
|1|13/5+ 4/5=17/5|13+17/5|
|2|13+17/5 +4/5=102/25|13+102/25|
- Fichiers joints
-
Scan0001 (2).pdf- Questions 3 et 4
+ Partie B - (295.09 Kio) Téléchargé 156 fois
-
sos-math(27)
- Messages : 1427
- Enregistré le : ven. 20 juin 2014 15:58
Re: DM
Il y a une erreur de calcul car U est affecté avec : 1/5 * U +4/5
à bientôt
Il faut revoir ceci. Utilise peut être ta calculatrice pour les calculs de fraction..|2|13+17/5 +4/5=102/25|13+102/25|
à bientôt
-
Justine
Re: DM
Donc,
|K|U|S|
|0|13|13|
|1|13/5+ 4/5=17/5|13+17/5|
|2|13+(17/5) +4/5=86/5|13+ 86/5|
Est-ce correct ?
Les questions 3 et 4 sont-elles justes ?
Merci
|K|U|S|
|0|13|13|
|1|13/5+ 4/5=17/5|13+17/5|
|2|13+(17/5) +4/5=86/5|13+ 86/5|
Est-ce correct ?
Les questions 3 et 4 sont-elles justes ?
Merci
-
sos-math(27)
- Messages : 1427
- Enregistré le : ven. 20 juin 2014 15:58
Re: DM
La partie rédigée semble juste, par contre pour les calculs de fraction, il faut revoir et donner les résultats !
Combien vaut : 13+17/5 ? et 13 +86/5 ?
De plus l'opération est : 1/5 * U + 4/5 et non pas 13/5 ...
Il faut revoir ceci. à bientôt
Combien vaut : 13+17/5 ? et 13 +86/5 ?
De plus l'opération est : 1/5 * U + 4/5 et non pas 13/5 ...
Il faut revoir ceci. à bientôt
-
Justine
Re: DM
Bonsoir,
|K|U|S|
|0|13|13|
|1|13/5+ 4/5=17/5|13+17/5|
|2|(1/5)*(17/5)+(4/5)= 37/25|13+ 37/25|
Est-ce cela ?
Cordialement.
|K|U|S|
|0|13|13|
|1|13/5+ 4/5=17/5|13+17/5|
|2|(1/5)*(17/5)+(4/5)= 37/25|13+ 37/25|
Est-ce cela ?
Cordialement.
-
SoS-Math(7)
- Messages : 4004
- Enregistré le : mer. 5 sept. 2007 12:04
Re: DM
Bonsoir Justine,
Au rang 2, il y a toujours une erreur. Pour U, tu as bien U= (1/5)*(17/5)+(4/5)= 37/25
Par contre, la valeur de S est erronée... Reprends le calcul de S au rang 1, tu as \(S_{1}=13+\frac{17}{5}=\frac{82}{5}\)
Donc au rang 2 tu as \(S_{2}=\frac{82}{5}+\frac{37}{25}\)
A bientôt
Au rang 2, il y a toujours une erreur. Pour U, tu as bien U= (1/5)*(17/5)+(4/5)= 37/25
Par contre, la valeur de S est erronée... Reprends le calcul de S au rang 1, tu as \(S_{1}=13+\frac{17}{5}=\frac{82}{5}\)
Donc au rang 2 tu as \(S_{2}=\frac{82}{5}+\frac{37}{25}\)
A bientôt
-
Justine
Re: DM
Bonsoir, je vous avez envoyé un autre message, je crois que vous ne l'avez pas reçu...
Donc,
Question 2,i)
Pour N=2, Un= 37/25
Et pour N=4, Un=637/625
Je reviens sur les questions 3 et 4:
Pour la question 3, est-ce que je réponds bien à la question ?
Pour la partie B, pour la proposition 1, je ne sais pas comment justifier.
Merci pour votre aide
Donc,
Question 2,i)
Pour N=2, Un= 37/25
Et pour N=4, Un=637/625
Je reviens sur les questions 3 et 4:
Pour la question 3, est-ce que je réponds bien à la question ?
Pour la partie B, pour la proposition 1, je ne sais pas comment justifier.
Merci pour votre aide
-
SoS-Math(7)
- Messages : 4004
- Enregistré le : mer. 5 sept. 2007 12:04
Re: DM
Bonsoir,
Oui, ta réponse à la question 3) est correcte. Pour la partie B, tu as eu la bonne démarche, pour montrer que ces affirmations sont fausses, il faut utiliser un contre-exemple et tu as bien vu que l'étude de la partie A) te donne ce contre exemple.
Regarde de plus près, tu as tout pour conclure.
A bientôt
Oui, ta réponse à la question 3) est correcte. Pour la partie B, tu as eu la bonne démarche, pour montrer que ces affirmations sont fausses, il faut utiliser un contre-exemple et tu as bien vu que l'étude de la partie A) te donne ce contre exemple.
Regarde de plus près, tu as tout pour conclure.
A bientôt
-
Justine
Re: DM
Bonjour,
Donc :
A) Faux : contre-exemple le début de l'exercice.
b) Faux : La suite (Un) est décroissante alors que la suite (Sn) est croissante.
Donc :
A) Faux : contre-exemple le début de l'exercice.
b) Faux : La suite (Un) est décroissante alors que la suite (Sn) est croissante.
-
SoS-Math(7)
- Messages : 4004
- Enregistré le : mer. 5 sept. 2007 12:04
Re: DM
Bonsoir Justine,
Oui mais comme tu l'as fait pour la deuxième affirmation, il faut détailler pourquoi (Un) et Sn constituent,pour le premier cas, un contre-exemple.
Bonne continuation.
Oui mais comme tu l'as fait pour la deuxième affirmation, il faut détailler pourquoi (Un) et Sn constituent,pour le premier cas, un contre-exemple.
Bonne continuation.
