SPE MATHS : RSA
-
Estelle
SPE MATHS : RSA
Bonjour à tous,
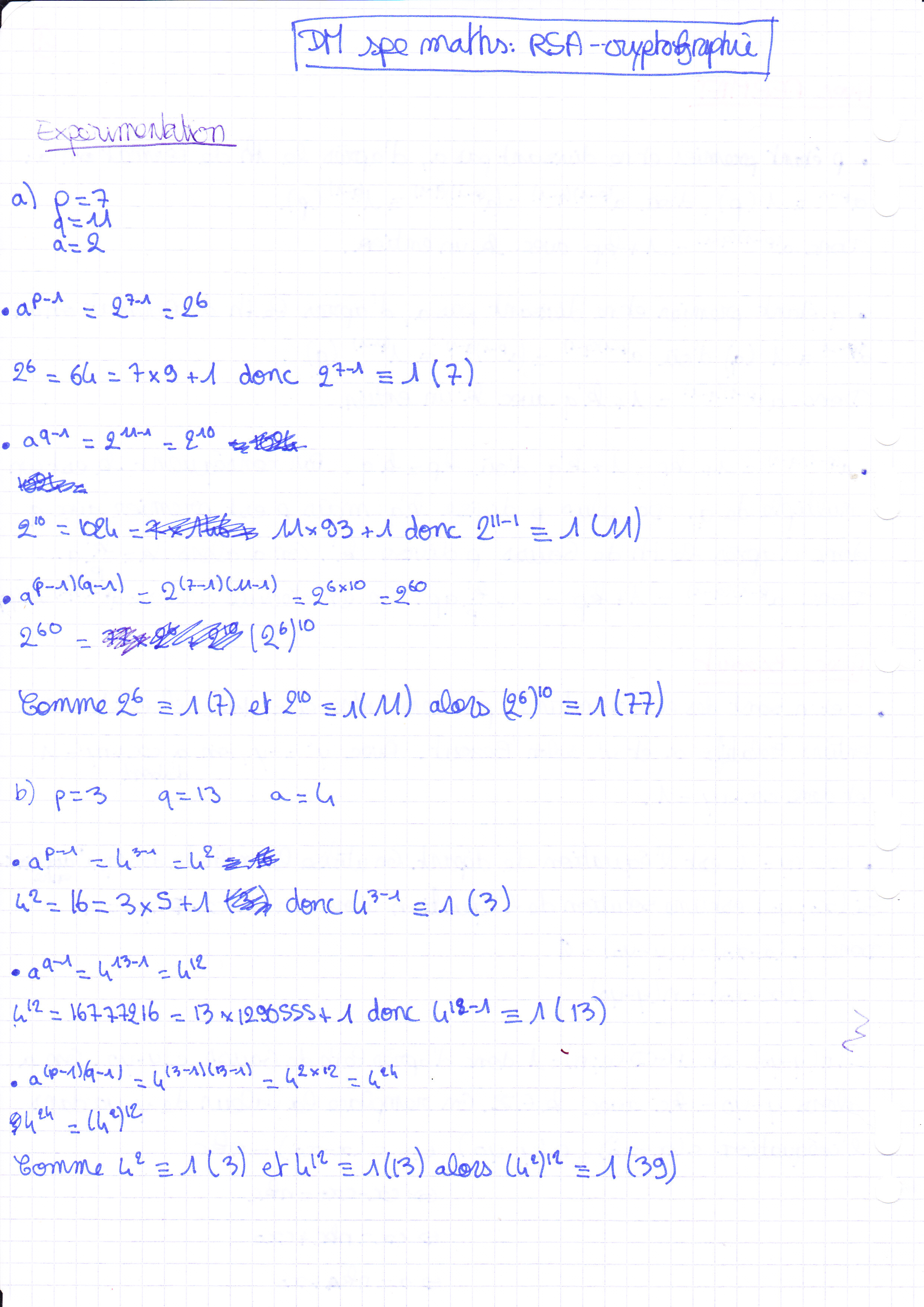
J'ai un devoir maison à rendre pour la mercredi prochain sur la cryptographie. J'aimerai savoir si mes réponses sont assez développées car il y a beaucoup de démonstrations et je ne savais pas vraiment comment démontrer.
Je vous donne le sujet et mes réponses en pièces jointes (l'ordre est le suivant : 0002, 0003, 0004, 0005, 0006)
Merci de votre aide.
J'ai un devoir maison à rendre pour la mercredi prochain sur la cryptographie. J'aimerai savoir si mes réponses sont assez développées car il y a beaucoup de démonstrations et je ne savais pas vraiment comment démontrer.
Je vous donne le sujet et mes réponses en pièces jointes (l'ordre est le suivant : 0002, 0003, 0004, 0005, 0006)
Merci de votre aide.
-
Estelle
-
SoS-Math(9)
- Messages : 6351
- Enregistré le : mer. 5 sept. 2007 12:10
Re: SPE MATHS : RSA
Bonjour Estelle,
Sur ce site on évite de vérifier les corrections entières d'exercices.
On aide les élèves à résoudre leurs exercices.
J'ai regardé rapidement ton travail. Cela semble juste.
SoSMath.
Sur ce site on évite de vérifier les corrections entières d'exercices.
On aide les élèves à résoudre leurs exercices.
J'ai regardé rapidement ton travail. Cela semble juste.
SoSMath.
-
Estelle
Re: SPE MATHS : RSA
Bonjour,
Je demandais juste si c'était assez démontrer.
Merci quand même d'avoir pris la peine de regarder.
Je demandais juste si c'était assez démontrer.
Merci quand même d'avoir pris la peine de regarder.
