Un exemple de calcul d'aire sous la courbe
-
Buzzleclair
Un exemple de calcul d'aire sous la courbe
Bonjour, j'ai un Dm à faire pour la rentrée et j'ai beau essayé plusieurs fois, je n'y arrive vraiment pas. Pourriez vous m'aider ?
Voici l'énoncé :
But de l'exercice : calculer l'aire du domaine délimité par l'axe des abscisses, l'axe des ordonnées, la droite d'équation x=1 et la courbe y=e^x. On appellera D ce domaine et A son aire en unité d'aire. Partie A :
On donne si dessus la représentation graphique de la fonction f(x)=e^x. On a partagé le segment [0,1] en 4 segments de longueur 0.25. Sur chacun de ces segments, on a construit le plus grand rectangle possible contenu dans le domaine D, ainsi que le plus petit rectangle possible au dessus de la courbe. Ainsi l'aire totale des rectangles sous la courbe ( que l'on appellera R) est inférieur à A qui est elle même inférieur à l'aire totale des rectangles au dessus de la courbe (que l'on appellera P )
1) Calculer R et P
2) Donner un encadrement de A à 0.001 près.
Partie B :
On imagine que l'on partage le segment [0;1] en n segments de longueur 1/n.
1) Vérifiez que l'aire du 1er rectangle sous la courbe est égale à 1/n * e^0 et que l'aire du 1er rectangle au dessus de la courbe est égale à 1/n * e^1/n.
2) Vérifiez que l'aire du 2ème rectangle sous la courbe est égale à 1/n * e^1/n et que l'aire du 2ème rectangle au dessus de la courbe est égale à 1/n * e^2/n.
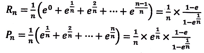
3) Montrez alors que la somme des aires des rectangles sous la courbe Rn et que celle des rectangles au dessus de la courbe est Pn : 4) On pose h=1/n. Vérifier alors que lim Rn ( n tend vers +l'infini) = lim ( h tend vers 0) (1-e) h/(1-e^h) et que lim Pn ( n tend vers + l'infini )= lim ( h tend vers 0 ) (1-e) e^h * h/(1-e^h)
5) Démontrer à l'aide de votre cours que lim ( h tend vers 0) (e^h -1)/h = 1
6) En déduire les limites de Rn et Pn, puis la valeur exacte de A.
7) Indiquer alors en justifiant la valeur exacte de l'intégrabe b a e^xdx
J'ai fait la partie A. J'ai besoin d'aide pour la partie B.
J'ai commencé à traîter la question 1 :
1) Aire 1er rectangle sous la courbe = L *l l= longueur et L= Largeur
= 1/n * 1
= 1/n * e^0
Aire 1er rectangle au dessus de la courbe = 0.25 * e^0.25
Ici la figure est découpé en n segments de longueur 1/ n d'où : 1/n * e^1/n
Est ce juste ? J'ai tenté de faire les autres questions mais je ne sais réellement pas par où commencé.
Je vous remercie de votre aide.
Voici l'énoncé :
But de l'exercice : calculer l'aire du domaine délimité par l'axe des abscisses, l'axe des ordonnées, la droite d'équation x=1 et la courbe y=e^x. On appellera D ce domaine et A son aire en unité d'aire. Partie A :
On donne si dessus la représentation graphique de la fonction f(x)=e^x. On a partagé le segment [0,1] en 4 segments de longueur 0.25. Sur chacun de ces segments, on a construit le plus grand rectangle possible contenu dans le domaine D, ainsi que le plus petit rectangle possible au dessus de la courbe. Ainsi l'aire totale des rectangles sous la courbe ( que l'on appellera R) est inférieur à A qui est elle même inférieur à l'aire totale des rectangles au dessus de la courbe (que l'on appellera P )
1) Calculer R et P
2) Donner un encadrement de A à 0.001 près.
Partie B :
On imagine que l'on partage le segment [0;1] en n segments de longueur 1/n.
1) Vérifiez que l'aire du 1er rectangle sous la courbe est égale à 1/n * e^0 et que l'aire du 1er rectangle au dessus de la courbe est égale à 1/n * e^1/n.
2) Vérifiez que l'aire du 2ème rectangle sous la courbe est égale à 1/n * e^1/n et que l'aire du 2ème rectangle au dessus de la courbe est égale à 1/n * e^2/n.
3) Montrez alors que la somme des aires des rectangles sous la courbe Rn et que celle des rectangles au dessus de la courbe est Pn : 4) On pose h=1/n. Vérifier alors que lim Rn ( n tend vers +l'infini) = lim ( h tend vers 0) (1-e) h/(1-e^h) et que lim Pn ( n tend vers + l'infini )= lim ( h tend vers 0 ) (1-e) e^h * h/(1-e^h)
5) Démontrer à l'aide de votre cours que lim ( h tend vers 0) (e^h -1)/h = 1
6) En déduire les limites de Rn et Pn, puis la valeur exacte de A.
7) Indiquer alors en justifiant la valeur exacte de l'intégrabe b a e^xdx
J'ai fait la partie A. J'ai besoin d'aide pour la partie B.
J'ai commencé à traîter la question 1 :
1) Aire 1er rectangle sous la courbe = L *l l= longueur et L= Largeur
= 1/n * 1
= 1/n * e^0
Aire 1er rectangle au dessus de la courbe = 0.25 * e^0.25
Ici la figure est découpé en n segments de longueur 1/ n d'où : 1/n * e^1/n
Est ce juste ? J'ai tenté de faire les autres questions mais je ne sais réellement pas par où commencé.
Je vous remercie de votre aide.
-
sos-math(22)
- Messages : 1694
- Enregistré le : lun. 6 sept. 2010 16:53
Re: Un exemple de calcul d'aire sous la courbe
Bonsoir,
Pour la partie B, il faut bien comprendre que le segment [0;1] est cette fois-ci partagé en n segments de longueur 1/n.
Concernant l'aire du premier rectangle situé au dessus de la courbe, sa largeur est bien 1/n (comme tous les rectangles de cette partie). Sa hauteur correspond à l'image de 1/n par la fonction exp. Elle est donc égale à exp(1/n)=e^(1/n).
Bonne continuation.
Pour la partie B, il faut bien comprendre que le segment [0;1] est cette fois-ci partagé en n segments de longueur 1/n.
Concernant l'aire du premier rectangle situé au dessus de la courbe, sa largeur est bien 1/n (comme tous les rectangles de cette partie). Sa hauteur correspond à l'image de 1/n par la fonction exp. Elle est donc égale à exp(1/n)=e^(1/n).
Bonne continuation.
-
Buzzleclair
Re: Un exemple de calcul d'aire sous la courbe
Ah merci beaucoup pour cette réponse :)
Pour la question 2 cela donne donc :
2 ) Le 2ème rectangle sous la courbe a une longieur de 1/n. Sa hauteur est égale à celle du premier rectangle au dessus de la courbe soit f(1/n) = e^(1/n) d'où Aire du 2ème rectangle sous la courbe = (1/n)*e^(1/n)
Le 2ème rectangle au dessus de la courbe à une longueur de 1/n. Sa distance par rapport à l'origine du repère est de 2/n. Sa hauteur est donc égale à f(2/n)= e^(2/n) d'où Aire du 2ème rectangle au dessus de la courbe= (1/n) * e^(2/n)
Est-ce juste ?
Pour la question 3 je pensais faire de la récurrence. Êtes vous du même avis que moi ?
Merci beaucoup :)
Pour la question 2 cela donne donc :
2 ) Le 2ème rectangle sous la courbe a une longieur de 1/n. Sa hauteur est égale à celle du premier rectangle au dessus de la courbe soit f(1/n) = e^(1/n) d'où Aire du 2ème rectangle sous la courbe = (1/n)*e^(1/n)
Le 2ème rectangle au dessus de la courbe à une longueur de 1/n. Sa distance par rapport à l'origine du repère est de 2/n. Sa hauteur est donc égale à f(2/n)= e^(2/n) d'où Aire du 2ème rectangle au dessus de la courbe= (1/n) * e^(2/n)
Est-ce juste ?
Pour la question 3 je pensais faire de la récurrence. Êtes vous du même avis que moi ?
Merci beaucoup :)
-
sos-math(22)
- Messages : 1694
- Enregistré le : lun. 6 sept. 2010 16:53
Re: Un exemple de calcul d'aire sous la courbe
Voilà, c'est bien. Donc en résumé, pour les rectangles situés sous la courbe on prend l'image par exp à l'extremité gauche du segment ; et pour les rectangles situés au-dessus de la courbe, on prend l'image par exp de l'extrémité droite du segment.
Pour la 3), il suffit de continuer à raisonner de manière analogue à ce qui précède. Pour le kième rectangle situé sous la courbe, de largeur [k/n ; (k+1)/n], ...
Puis de faire, encore une fois le même raisonnement pour le dernier rectangle de largeur [(n-1)/n ; 1].
Bon courage.
Pour la 3), il suffit de continuer à raisonner de manière analogue à ce qui précède. Pour le kième rectangle situé sous la courbe, de largeur [k/n ; (k+1)/n], ...
Puis de faire, encore une fois le même raisonnement pour le dernier rectangle de largeur [(n-1)/n ; 1].
Bon courage.
-
Buzzleclair
Re: Un exemple de calcul d'aire sous la courbe
Je m'excuse mais je ne sais réellement pas comment attaquer la question 3. Je voulais faire de la récurrence mais je ne sais pas quoi mettre dans l'initialisation. Comment devrais-je commencer ?
-
sos-math(22)
- Messages : 1694
- Enregistré le : lun. 6 sept. 2010 16:53
Re: Un exemple de calcul d'aire sous la courbe
Non, non, inutile de raisonner par récurrence.
Je pensais vous avoir expliqué la méthode dans mon précédent message.
Peux-tu me poser une question précise ?
Bonne continuation.
Je pensais vous avoir expliqué la méthode dans mon précédent message.
Peux-tu me poser une question précise ?
Bonne continuation.
-
Buzzleclair
Re: Un exemple de calcul d'aire sous la courbe
Ah d'accord je pensais qu'utiliser la récurrence était une bonne idée.
Je n'ai pas compris l'explication de la question 3, pourriez vous me l'a réexpliquer ?
Je n'ai pas compris l'explication de la question 3, pourriez vous me l'a réexpliquer ?
-
sos-math(22)
- Messages : 1694
- Enregistré le : lun. 6 sept. 2010 16:53
Re: Un exemple de calcul d'aire sous la courbe
Alors, tu as su faire pour les deux premiers rectangles (dessous et dessus la courbe), puis pour les deux seconds (dessous et dessus la courbe).
Fais de même pour les "deux kième" rectangles situés sous la courbe, de largeur [k/n ; (k+1)/n].
L'aire du kième rectangle situé dessous la courbe est égale à...
L'aire du kième rectangle situé dessus la courbe est égale à...
Bon courage.
Fais de même pour les "deux kième" rectangles situés sous la courbe, de largeur [k/n ; (k+1)/n].
L'aire du kième rectangle situé dessous la courbe est égale à...
L'aire du kième rectangle situé dessus la courbe est égale à...
Bon courage.
-
Buzzleclair
-
sos-math(22)
- Messages : 1694
- Enregistré le : lun. 6 sept. 2010 16:53
Re: Un exemple de calcul d'aire sous la courbe
Effectivment, ce n'est pas très bien exprimé.
J'essaie de préciser : la base de ce rectangle est [k/n ; (k+1)/n].
Sa largeur est (k+1)/n - k/n = 1/n.
1/n, comme tous les rectangles considérés ici.
Comprends-tu mieux maintenant ?
Bonne continuation.
J'essaie de préciser : la base de ce rectangle est [k/n ; (k+1)/n].
Sa largeur est (k+1)/n - k/n = 1/n.
1/n, comme tous les rectangles considérés ici.
Comprends-tu mieux maintenant ?
Bonne continuation.
-
Buzzleclair
Re: Un exemple de calcul d'aire sous la courbe
D'accord c'est plus claire merci beaucoup.
Pour sa hauteur il faut donc faire : e ^( (k+1)/n - k/n) = e^(1/n)
Mais cela ne me donne pas le résultat que je suis sensé trouver
Pour sa hauteur il faut donc faire : e ^( (k+1)/n - k/n) = e^(1/n)
Mais cela ne me donne pas le résultat que je suis sensé trouver
-
sos-math(22)
- Messages : 1694
- Enregistré le : lun. 6 sept. 2010 16:53
Re: Un exemple de calcul d'aire sous la courbe
Attention, ça ne va pas : ce que tu as écris n'est pas bon.
Il y a deux rectangles, comme dans les deux premières questions.
Il faut calculer la hauteur de chacun, séparément.
Il y a deux rectangles, comme dans les deux premières questions.
Il faut calculer la hauteur de chacun, séparément.
-
Buzzleclair
Re: Un exemple de calcul d'aire sous la courbe
Oui mais là je parler de l'aire des rectangle sous la courbe.
Je suis désolé de vous demander toute ces explications mais j'ai vraiment du mal avec cette exercice..
Je suis désolé de vous demander toute ces explications mais j'ai vraiment du mal avec cette exercice..
-
sos-math(22)
- Messages : 1694
- Enregistré le : lun. 6 sept. 2010 16:53
Re: Un exemple de calcul d'aire sous la courbe
Reprenons,
L'aire du kième rectangle situé au-dessous de la courbe est égale à (1/n)xexp(k/n)=(1/n)e^(k/n).
L'aire du kième rectangle situé dessus la courbe est égale à ... ??
Bon courage.
L'aire du kième rectangle situé au-dessous de la courbe est égale à (1/n)xexp(k/n)=(1/n)e^(k/n).
L'aire du kième rectangle situé dessus la courbe est égale à ... ??
Bon courage.
-
Buzzleclair
Re: Un exemple de calcul d'aire sous la courbe
Je suis désolé mais je ne sais pas du tout..
Pourquoi nous ne parlons que des rectangles au dessus de la courbe et pas des rectangles sous la courbe ?
Pourquoi nous ne parlons que des rectangles au dessus de la courbe et pas des rectangles sous la courbe ?
