critère de divisibilité
-
Anath
critère de divisibilité
Bonjour, j'ai un exercice à faire en spécialité maths pour la rentrée, mais je n'arrive pas à repartir de la question 1 et 2 pour répondre à la question 3.
Je vous ai mis en fichier joint l'exercice et la première question que j'ai rédigée, j'ai fait la 2e question également mais je ne l'ai pas rédigé, car elle correspond exactement à la première question en changeant le 9 par un 3.
Mon problème dans la question 3, est que 10 n'est pas congru à 1 (mod 5) alors avec qu'elle base partir pour démontrer qu'un chiffre est divisible par 5 ? Car dans les 2 questions précèdentes 10 était congru à 1 (mod9) et (mod3). Bref, je suis un peu perdue.. Pouvez-vous me donner un conseil pour m'aider à retrouver un raisonnement similaire aux questions 1 et 2?
En espérant que mes explications aient l'air compréhensible.
Merci d'avance
Je vous ai mis en fichier joint l'exercice et la première question que j'ai rédigée, j'ai fait la 2e question également mais je ne l'ai pas rédigé, car elle correspond exactement à la première question en changeant le 9 par un 3.
Mon problème dans la question 3, est que 10 n'est pas congru à 1 (mod 5) alors avec qu'elle base partir pour démontrer qu'un chiffre est divisible par 5 ? Car dans les 2 questions précèdentes 10 était congru à 1 (mod9) et (mod3). Bref, je suis un peu perdue.. Pouvez-vous me donner un conseil pour m'aider à retrouver un raisonnement similaire aux questions 1 et 2?
En espérant que mes explications aient l'air compréhensible.
Merci d'avance
-
sos-math(21)
- Messages : 10401
- Enregistré le : lun. 30 août 2010 11:15
Re: critère de divisibilité
Bonjour,
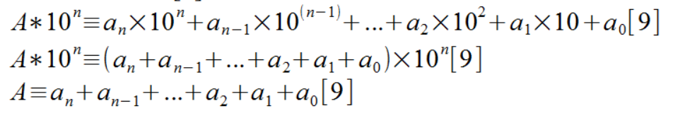
cette partie ci-dessous est fausse : Tu dois utiliser le fait que pour entier \(k\) de \(\left\lbrace1,....n\right \rbrace\), on a \(10^k \equiv 1\,[9]\)
donc si tu pars de \(A=a_n\times\underbrace{10^n}_{\equiv 1\,[9]}+a_{n-1}\times\underbrace{10^{n-1}}_{\equiv 1\,[9]}+....+a_1\times \underbrace{10}_{\equiv 1\,[9]}+a_0\),
je te laisse conclure.
Pour le critère de divisibilité par 5, il faut voir que toutes les puissances de 10 sont divisibles par 5 : pour entier \(k\) de \(\left\lbrace1,....n\right \rbrace\), on a \(10^k \equiv 0\,[5]\)
Que restera t-il dans \(A=a_n\times 10^n+...+a_1\times 10+a_0\) lorsqu'on passera aux congruences modulo 5 ?
cette partie ci-dessous est fausse : Tu dois utiliser le fait que pour entier \(k\) de \(\left\lbrace1,....n\right \rbrace\), on a \(10^k \equiv 1\,[9]\)
donc si tu pars de \(A=a_n\times\underbrace{10^n}_{\equiv 1\,[9]}+a_{n-1}\times\underbrace{10^{n-1}}_{\equiv 1\,[9]}+....+a_1\times \underbrace{10}_{\equiv 1\,[9]}+a_0\),
je te laisse conclure.
Pour le critère de divisibilité par 5, il faut voir que toutes les puissances de 10 sont divisibles par 5 : pour entier \(k\) de \(\left\lbrace1,....n\right \rbrace\), on a \(10^k \equiv 0\,[5]\)
Que restera t-il dans \(A=a_n\times 10^n+...+a_1\times 10+a_0\) lorsqu'on passera aux congruences modulo 5 ?
-
Anath
Re: critère de divisibilité
Il me semblais que quelque chose n'allais.. Merci beaucoup, je vais revoir tout ça !
-
sos-math(21)
- Messages : 10401
- Enregistré le : lun. 30 août 2010 11:15
Re: critère de divisibilité
Bon courage pour la suite.
A bientôt sur sos-maths
A bientôt sur sos-maths
-
Justine
Re: critère de divisibilité
Etant arrivé à la question 5)b) et remerciant Anath d'avoir posé ces questions qui m'ont aussi bien aidé, je ne comprends pas l'intitulé de cette question, soit "la parité de n". Que cela signifie-il?
Merci d'avance.
Merci d'avance.
-
sos-math(13)
- Messages : 1553
- Enregistré le : mer. 11 mars 2009 15:32
Re: critère de divisibilité
Bonjour,
selon la parité, signifie, selon que c'est pair, ou impair.
Merci de poster un nouveau sujet, afin de conserver à ce forum une bonne lisibilité.
Bon courage.
selon la parité, signifie, selon que c'est pair, ou impair.
Merci de poster un nouveau sujet, afin de conserver à ce forum une bonne lisibilité.
Bon courage.
