Bonjour, je suis en terminale ES spé-maths, j'ai cet exercice à faire, je n'arrive pas trouver deux fois le même résultat, et je ne trouve pas le même résultat que sur ma calculatrice, pouvez vous m'aider? Merci par avance
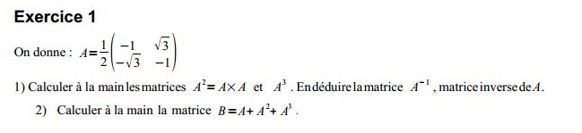
J'ai d'abord multiplié tous les coefficient par 1/2 pour avoir la matrice A sous forme d'une matrice normale....
Ensuite je dois la multiplier par elle même, donc (-1/2)²; (racine(3)/2)²;(-racine(3)/2)²; (-1/2)² mais je crois que ça n'est pas la bonne méthode car ça ne me donne pas comme ma calculatrice.. :)
Calcul matriciel TES
-
Nina
-
sos-math(21)
- Messages : 10401
- Enregistré le : lun. 30 août 2010 11:15
Re: Calcul matriciel TES
Bonjour,
Par définition d'un carré de matrice \(A^2=A\times A\) et la multiplication matricielle est assez particulière : Est-ce plus clair ?
Par définition d'un carré de matrice \(A^2=A\times A\) et la multiplication matricielle est assez particulière : Est-ce plus clair ?
