Trigonométrie
-
jules
Re: Trigonométrie
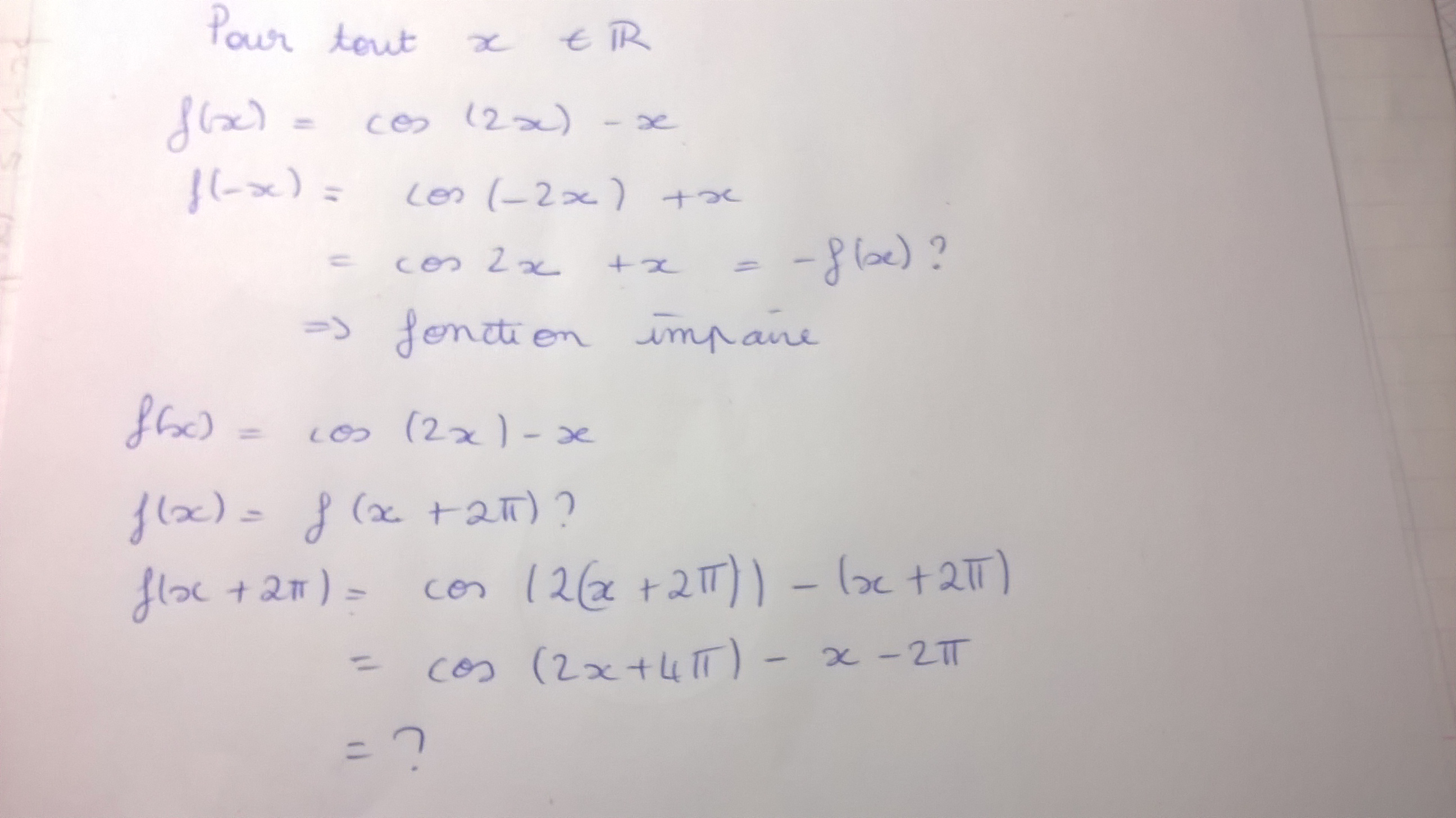
Justement je ne sais pas si mon expression est juste j'ai fais ça mais pour la périodicité je bloque
-
sos-math(20)
- Messages : 2461
- Enregistré le : lun. 5 juil. 2010 13:47
Re: Trigonométrie
Jules,
Pour l'étude de la parité vous faîtes une faute de calcul à la dernière étape, du coup votre conclusion est fausse. En effet vous affirmez retrouver - f(x) à la fin du calcul : en êtes-vous sûr ? Si f(x)= cos(2x) -x alors que vaut - f(x) ?
Pour l'étude de la périodicité, c'est correct : à la fin vous ne retrouvez pas l'expression de f(x) notamment à cause du +\(2\pi\) à la fin : conclusion ?
SOSmath
Pour l'étude de la parité vous faîtes une faute de calcul à la dernière étape, du coup votre conclusion est fausse. En effet vous affirmez retrouver - f(x) à la fin du calcul : en êtes-vous sûr ? Si f(x)= cos(2x) -x alors que vaut - f(x) ?
Pour l'étude de la périodicité, c'est correct : à la fin vous ne retrouvez pas l'expression de f(x) notamment à cause du +\(2\pi\) à la fin : conclusion ?
SOSmath
-
jules
Re: Trigonométrie
Je pense que -f(x)=-cos(2x)+x du coup je ne sais pas si elle est paire ou impaire ?! Et pour la périodicité du coup elle n'est pas 2pi périodique ??
-
sos-math(20)
- Messages : 2461
- Enregistré le : lun. 5 juil. 2010 13:47
Re: Trigonométrie
Comme tu ne retrouves ni f(x) ni - f(x), la fonction n'est ni paire ni impaire.
En effet elle n'est pas non plus \(2\pi\)-périodique.
SOSmath
En effet elle n'est pas non plus \(2\pi\)-périodique.
SOSmath
-
jules
Re: Trigonométrie
D'accord merci pour la suite j'ai fais ça mais je ne sais pas si c'est juste
-
sos-math(20)
- Messages : 2461
- Enregistré le : lun. 5 juil. 2010 13:47
Re: Trigonométrie
Bonjour Jules,
Pour la question 3), l'expression de ta dérivée est fausse (tu as oublié un morceau !), ainsi que l'image de \(\frac{\pi}{2}\) (Je pense que tu n'as pas mis ta calculatrice en mode radians !)
Pour la question 4), ton hypothèse H3 est mal rédigée, c'est " O appartient à " et pas ce que tu as écrit; ta valeur approchée en fin de question est aussi incorrecte ( toujours ce problème de calculatrice non mise en mode radians).
Bon courage pour reprendre tout cela.
SOSmath
Pour la question 3), l'expression de ta dérivée est fausse (tu as oublié un morceau !), ainsi que l'image de \(\frac{\pi}{2}\) (Je pense que tu n'as pas mis ta calculatrice en mode radians !)
Pour la question 4), ton hypothèse H3 est mal rédigée, c'est " O appartient à " et pas ce que tu as écrit; ta valeur approchée en fin de question est aussi incorrecte ( toujours ce problème de calculatrice non mise en mode radians).
Bon courage pour reprendre tout cela.
SOSmath
