fonction

Retrouver tous les sujets résolus.
SoS-Math(9)
Messages : 6351
Enregistré le : mer. 5 sept. 2007 12:10

Re: fonction

Message par SoS-Math(9) » sam. 17 sept. 2011 18:34

Non !
Pourquoi veux-tu que p et p' aient le même signe ? Il n'y aucune raison !

NB : Pour t'en convaincre, trace sur ta calculatrice les courbes de p et p' et tu pourras observer qu'elles n'ont pas le même signe ....

SoSMath.
Phoenicia

Re: fonction

Message par Phoenicia » sam. 17 sept. 2011 18:39

on a trouvé le signe de p(x) avec p'(x)? p(x) est négatif dans tout R?
Phoenicia

Re: fonction

Message par Phoenicia » sam. 17 sept. 2011 18:41

Ah sinon l'équation de T: f'(a)(x-a)+f(a) donc a c'est 0?
SoS-Math(9)
Messages : 6351
Enregistré le : mer. 5 sept. 2007 12:10

Re: fonction

Message par SoS-Math(9) » sam. 17 sept. 2011 19:22

Phoenicia,

Il faut réfléchir un peu plus avant de poster des messages ...

* Comment p(x) peut-il être négatif sur IR, sachant que tu as trouvé p(a) = 0 où a = 1,68 ?
Avec le tableau de variation de p (touvé grâce au signe de p'(x)) tu as montré que p est positif sur ]-oo ; a[ et négatif sur ]a ; +oo[ !

* la formule est presque juste .... qui dit équation, dit signe égal ! tu as donc y = f'(a)(x-a)+f(a).

SoSMath.
Phoenicia

Re: fonction

Message par Phoenicia » sam. 17 sept. 2011 20:21

désolé, je ne comprends pas bien... car pour p(x)=0 j'ai -1.67 \(\leq\)a\(\leq\)-1.68 je n'ai que l'approximation, je remet mon tableau corrigé :
Fichiers joints
2011-09-17_212009.png
SoS-Math(9)
Messages : 6351
Enregistré le : mer. 5 sept. 2007 12:10

Re: fonction

Message par SoS-Math(9) » sam. 17 sept. 2011 20:45

Phoenicia,

tu ne fais pas attention à ce que tu écris ... il faut peut-être faire une pause et reprendre demain !

Dans ton tableau a (alpha) est plus petit que -1 ....

De plus le fait d'avoir une approximation n'est pas important ... ce qui compte c'est de savoir que alpha existe !

SoSMath.
Phoenicia

Re: fonction

Message par Phoenicia » sam. 17 sept. 2011 20:51

en fait j'ai beaucoup d'autres devoirs pour demain ... donc si alpha est négatif alors p(x) est négatif, j' ai pensé...
SoS-Math(9)
Messages : 6351
Enregistré le : mer. 5 sept. 2007 12:10

Re: fonction

Message par SoS-Math(9) » sam. 17 sept. 2011 20:55

Phoenicia,

Visiblement tu ne comprends pas ce que l'on veut t'expliquer et j'en suis désolé.
Mais par internet il est difficile de faire mieux.
Donc je te redonne la solution : p est positif sur ]-oo ; a[ et négatif sur ]a ; +oo[ .
Et comme f '(x) est du signe de p(x) (car f '(x) = p(x)/(...)²), donc f '(x) est positif sur ]-oo ; a[ et négatif sur ]a ; +oo[ .

Bon courage pour la suite.
SoSMath.
Phoenicia

Re: fonction

Message par Phoenicia » sam. 17 sept. 2011 21:23

merci, f(x) est bien du signe de f'(x)?
Fichiers joints
2011-09-17_222134.png
SoS-Math(9)
Messages : 6351
Enregistré le : mer. 5 sept. 2007 12:10

Re: fonction

Message par SoS-Math(9) » dim. 18 sept. 2011 08:42

Bonjour Phoenicia,

Tu confonds "signe" et "variation" .....
Le signe de la dérivée d'une fonction donne les variations de la fonction !
Donc f et f ' n'ont aucune raison d'avoir le même signe !

Ton tableau est faux !
Tu as le signe de p, donc tu as le signe de f ' (le même que p).
Tu en déduis alors les variations de f !

SoSMath.
Phoenicia

Re: fonction

Message par Phoenicia » dim. 18 sept. 2011 08:57

ok si je comprends c'est la ligne de f'(x) qui n'est pas bon
pour 4)b) j'ai pensé à factorisé à la fin sauf que je n'arrive pas à établir le signe
Fichiers joints
Sans titre.jpg
sos-math(21)
Messages : 10401
Enregistré le : lun. 30 août 2010 11:15

Re: fonction

Message par sos-math(21) » dim. 18 sept. 2011 09:15

Bonjour,
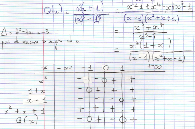
si tu fais la différence :
\(\frac{x+1}{x^3-1}-(-x-1)=\frac{x+1}{x^3-1}-\frac{(-x-1)(x^3-1)}{x^3-1}=\frac{x+1-(-x-1)(x^3-1)}{x^3-1}=\frac{x+1+x^4-x+x^3-1}{x^3-1}=\frac{x^3+x^4}{x^3-1}=\frac{x^3(1+x)}{x^3-1}\)
Vérifie mes calculs et étudie le signe de cette expression....
Phoenicia

Re: fonction

Message par Phoenicia » dim. 18 sept. 2011 09:38

comment faire pour le signe de x au cube?
sos-math(21)
Messages : 10401
Enregistré le : lun. 30 août 2010 11:15

Re: fonction

Message par sos-math(21) » dim. 18 sept. 2011 10:51

le cube d'un nombre est positif si ce nombre est positif, négatif si ce nombre est négatif....
Phoenicia

Re: fonction

Message par Phoenicia » dim. 18 sept. 2011 17:21

j'ai fait un tableau : et pour le signe ... je ne sais pas
Fichiers joints
2011-09-18_164217.png
Répondre