Exercice Suite/Fonction
- 
				SoS-Math(33)
- Messages : 3588
- Enregistré le : ven. 25 nov. 2016 14:24
Re: Exercice Suite/Fonction
Il te faut écrire :
Supposons que pour tout p>1 (et pas p>0)
Ensuite il te faut aussi écrire
\(U_{p+1}=f(U_p)\) hors \(f\) est croissant sur \([\sqrt{2} ; +\infty[\) donc \(U_{p+1} > U_p\)
et donc \(U_{p+1} > \sqrt{2}\)
et pas \(U_p\leq U_{p+1}\) \(f(Up) \leq f(U{p+1})\) tu fais sur p+2
			
			
									
									
						Supposons que pour tout p>1 (et pas p>0)
Ensuite il te faut aussi écrire
\(U_{p+1}=f(U_p)\) hors \(f\) est croissant sur \([\sqrt{2} ; +\infty[\) donc \(U_{p+1} > U_p\)
et donc \(U_{p+1} > \sqrt{2}\)
et pas \(U_p\leq U_{p+1}\) \(f(Up) \leq f(U{p+1})\) tu fais sur p+2
- 
				Jean
Re: Exercice Suite/Fonction
J'ai fini ma récurrence (enfin je l'espère)
J'ai fait la question 2)b) mais je suis de nouveau bloqué ...
Voici mon début de raisonnement
			
							
			
									
									
						J'ai fait la question 2)b) mais je suis de nouveau bloqué ...
Voici mon début de raisonnement
- 
				SoS-Math(33)
- Messages : 3588
- Enregistré le : ven. 25 nov. 2016 14:24
Re: Exercice Suite/Fonction
Si tu poses \(h(x) = x - f(x)\) alors \(h'(x) = 1 - f'(x)\) tu as fais une erreur.
Sinon ce que tu fais est la bonne solution, tu calcule la dérivée pour avoir le sens de variation de \(h(x)\)
Je te laisse corriger ton erreur et poursuivre les calculs.
			
			
									
									
						Sinon ce que tu fais est la bonne solution, tu calcule la dérivée pour avoir le sens de variation de \(h(x)\)
Je te laisse corriger ton erreur et poursuivre les calculs.
- 
				Jean
Re: Exercice Suite/Fonction
Suite à vos remarques j'ai trouvé que h(x) est croissant mais comment répondre à la question 2)b) ?
			
							
			
									
									
						- 
				SoS-Math(33)
- Messages : 3588
- Enregistré le : ven. 25 nov. 2016 14:24
Re: Exercice Suite/Fonction
Oui c'est ça h(x) est croissant .
Maintenant il te faut regarder la valeur de h(x) pour x = \(\sqrt{2}\) et ainsi tu auras pour \(x \in [\sqrt{2} ; +\infty[\) : \(h(x) \geq h(\sqrt{2})\) et tu pourras en déduire le signe de \(x-f(x)\)
A toi de faire les calculs maintenant.
			
			
									
									
						Maintenant il te faut regarder la valeur de h(x) pour x = \(\sqrt{2}\) et ainsi tu auras pour \(x \in [\sqrt{2} ; +\infty[\) : \(h(x) \geq h(\sqrt{2})\) et tu pourras en déduire le signe de \(x-f(x)\)
A toi de faire les calculs maintenant.
- 
				Jean
Re: Exercice Suite/Fonction
Je pense avoir fini a question mais j'ai l'impression d'avoir brûlé des étapes dans ma rédaction ...
			
							
			
									
									
						- 
				SoS-Math(9)
- Messages : 6351
- Enregistré le : mer. 5 sept. 2007 12:10
Re: Exercice Suite/Fonction
Bonjour Jean,
Cela me semble correct ... sauf pour ta dérivée ! il y a une petite erreur de calcul (qui ne change pas ton résultat !) :
\(h'(x)=1-\frac{0,5x^2-1}{x^2}=\frac{x^2}{x^2}-\frac{0,5x^2-1}{x^2}=\frac{x^2-(0,5x^2-1)}{x^2}=\frac{0,5x^2+1}{x^2}\) et non \(\frac{1,5x^2+1}{x^2}\).
SoSMath.
			
			
									
									
						Cela me semble correct ... sauf pour ta dérivée ! il y a une petite erreur de calcul (qui ne change pas ton résultat !) :
\(h'(x)=1-\frac{0,5x^2-1}{x^2}=\frac{x^2}{x^2}-\frac{0,5x^2-1}{x^2}=\frac{x^2-(0,5x^2-1)}{x^2}=\frac{0,5x^2+1}{x^2}\) et non \(\frac{1,5x^2+1}{x^2}\).
SoSMath.
- 
				Jean
Re: Exercice Suite/Fonction
Bonsoir,
J'ai continué mes réponses jusqu'à la question 2)d). Cependant je ne vois pas du tout comment répondre à la question 3.
De plus mes réponses sont-elles correctes pour la question 2)c) et 2)d) ?
Merci de votre aide.
			
							
			
									
									
						J'ai continué mes réponses jusqu'à la question 2)d). Cependant je ne vois pas du tout comment répondre à la question 3.
De plus mes réponses sont-elles correctes pour la question 2)c) et 2)d) ?
Merci de votre aide.
- 
				SoS-Math(9)
- Messages : 6351
- Enregistré le : mer. 5 sept. 2007 12:10
Re: Exercice Suite/Fonction
Jean,
c'est bien pour les questions 2c et d.
Pour la question 3, il faut utiliser un théorème qui dit que si on a \(u_{n+1}=f(u_n)\) et \((u_n)\) qui converge vers \(l\), alors \(l\) vérifient l'équation \(f(x)=x\).
SoSMath.
			
			
									
									
						c'est bien pour les questions 2c et d.
Pour la question 3, il faut utiliser un théorème qui dit que si on a \(u_{n+1}=f(u_n)\) et \((u_n)\) qui converge vers \(l\), alors \(l\) vérifient l'équation \(f(x)=x\).
SoSMath.
- 
				Jean
Re: Exercice Suite/Fonction
Est-ce le théorème de comparaison ? Mais je ne vois pas comment l'appliquer !
			
			
									
									
						- 
				SoS-Math(9)
- Messages : 6351
- Enregistré le : mer. 5 sept. 2007 12:10
Re: Exercice Suite/Fonction
Non ce n'est pas un théorème de comparaison ....
Si on a \(\lim_{n \to +\infty} u_{n} = l\) et \(f\) une fonction continue sur un intervalle I contenant \(l\),
alors on a \(\lim_{n \to +\infty} f(u_{n}) = f(l)\) soit \(\lim_{n \to +\infty} u_{n+1} = f(l)\).
Mais on sait que la limite est unique d'où le résultat \(f(l)=l\).
SoSMath.
			
			
									
									
						Si on a \(\lim_{n \to +\infty} u_{n} = l\) et \(f\) une fonction continue sur un intervalle I contenant \(l\),
alors on a \(\lim_{n \to +\infty} f(u_{n}) = f(l)\) soit \(\lim_{n \to +\infty} u_{n+1} = f(l)\).
Mais on sait que la limite est unique d'où le résultat \(f(l)=l\).
SoSMath.
- 
				Jean
- 
				SoS-Math(25)
- Messages : 1867
- Enregistré le : mer. 2 nov. 2011 09:39
Re: Exercice Suite/Fonction
Bonsoir Jean,
Je n'ai pas lu tout le sujet mais tu as :
\(2\times l = l+\dfrac{2}{l}\)
En supposant que \(l\neq 0\)
en multipliant par l de chaque côté, tu obtiendras une équation du second degré...
Bon courage
			
			
									
									
						Je n'ai pas lu tout le sujet mais tu as :
\(2\times l = l+\dfrac{2}{l}\)
En supposant que \(l\neq 0\)
en multipliant par l de chaque côté, tu obtiendras une équation du second degré...
Bon courage
- 
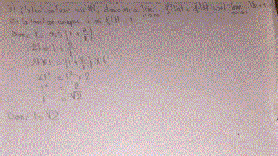
				Jean
Re: Exercice Suite/Fonction
Bonsoir,
Après vos remarques je trouve l = racine de 2. Est ce correct ?
			
							
			
									
									
						Après vos remarques je trouve l = racine de 2. Est ce correct ?
- 
				SoS-Math(9)
- Messages : 6351
- Enregistré le : mer. 5 sept. 2007 12:10
Re: Exercice Suite/Fonction
Bonsoir Jean,
Cela semble correct ... mais \(l^2=2\) a deux solutions \(l=\sqrt{2}\) ou \(l=-\sqrt{2}\)
SoSMath.
			
			
									
									
						Cela semble correct ... mais \(l^2=2\) a deux solutions \(l=\sqrt{2}\) ou \(l=-\sqrt{2}\)
SoSMath.
