Arithmétique
-
Thomas
Arithmétique
Bonsoir,
Je fais un exercice sur la divisibilité en arithmétique, je ne vois pas du tout comment commencer l'exercice, j'ai relu mon cours mais je ne sais pas comment faire ...
Pouvez-vous m'aider.
Merci d'avance.
Je fais un exercice sur la divisibilité en arithmétique, je ne vois pas du tout comment commencer l'exercice, j'ai relu mon cours mais je ne sais pas comment faire ...
Pouvez-vous m'aider.
Merci d'avance.
-
SoS-Math(30)
- Messages : 585
- Enregistré le : lun. 12 oct. 2015 10:32
Re: Arithmétique
Bonjour Thomas,
Pour la première question, il ne s'agit pas d'arithmétique mais de la somme de termes d'une suite géométrique.
Si tu obtiens la bonne expression à cette question, la réponse à la deuxième vient assez "naturellement".
SoSMath
Pour la première question, il ne s'agit pas d'arithmétique mais de la somme de termes d'une suite géométrique.
Si tu obtiens la bonne expression à cette question, la réponse à la deuxième vient assez "naturellement".
SoSMath
-
Thomas
Re: Arithmétique
Bonsoir,
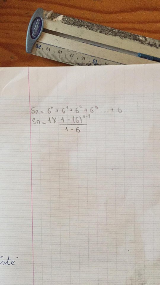
J'ai essayé de trouver la somme avec la formule Sn = P * (1 - q^n) / 1-q.
Je trouve une mauvaise formule, du moins je pense.
Voici une photo de ce que j'ai fait.
Merci d'avance de votre aide.
J'ai essayé de trouver la somme avec la formule Sn = P * (1 - q^n) / 1-q.
Je trouve une mauvaise formule, du moins je pense.
Voici une photo de ce que j'ai fait.
Merci d'avance de votre aide.
-
SoS-Math(30)
- Messages : 585
- Enregistré le : lun. 12 oct. 2015 10:32
Re: Arithmétique
Attention, dans la formule, c'est : premier terme \(\times\frac{1-raison^{nombre-de-termes}}{1-raison}\).
Ici, la somme contient \(n\) termes, tu obtiens donc \(1\times\frac{1-6^{n}}{1-6}\).
SoSMath
Ici, la somme contient \(n\) termes, tu obtiens donc \(1\times\frac{1-6^{n}}{1-6}\).
SoSMath
-
Thomas
Re: Arithmétique
Bonjour,
Je comprends la formule mais je ne vois pas comment faire la question 2.
6 +14 = 20, donc il semble logique que 6^n +14 soit un multiple de 5.
Mais je ne pense pas que ce soit la bonne justification...
Merci de votre aide.
Je comprends la formule mais je ne vois pas comment faire la question 2.
6 +14 = 20, donc il semble logique que 6^n +14 soit un multiple de 5.
Mais je ne pense pas que ce soit la bonne justification...
Merci de votre aide.
-
SoS-Math(9)
- Messages : 6351
- Enregistré le : mer. 5 sept. 2007 12:10
Re: Arithmétique
Bonjour Thomas,
Tu as trouvé \(S_n=\frac{6^n-1}{5}\).
Or \(S_n\) est un entier, donc \(6^n-1\) est divisible par 5 ....
Je te laisse terminer.
SoSMath.
Tu as trouvé \(S_n=\frac{6^n-1}{5}\).
Or \(S_n\) est un entier, donc \(6^n-1\) est divisible par 5 ....
Je te laisse terminer.
SoSMath.
-
Thomas
-
SoS-Math(33)
- Messages : 3588
- Enregistré le : ven. 25 nov. 2016 14:24
Re: Arithmétique
Bonjour Thomas,
\(6^n-1\) est divisible par 5 cela veut dire que tu peux écrire \(6^n-1 = 5k\) avec k entier naturel
Maintenant tu veux obtenir \(6^n +14\) que faut il faire pour passer de \(6^n-1\) à \(6^n+14\) ?
\(6^n-1\) est divisible par 5 cela veut dire que tu peux écrire \(6^n-1 = 5k\) avec k entier naturel
Maintenant tu veux obtenir \(6^n +14\) que faut il faire pour passer de \(6^n-1\) à \(6^n+14\) ?
-
Thomas
Re: Arithmétique
Bonsoir,
Faut-il mettre 6^n + 14 = 2k + 4...
Faut-il mettre 6^n + 14 = 2k + 4...
-
SoS-Math(9)
- Messages : 6351
- Enregistré le : mer. 5 sept. 2007 12:10
Re: Arithmétique
Thomas,
il faut ajouter 15 et … 15 est divisible par 5 !
SoSMath.
il faut ajouter 15 et … 15 est divisible par 5 !
SoSMath.
-
Thomas
-
SoS-Math(33)
- Messages : 3588
- Enregistré le : ven. 25 nov. 2016 14:24
Re: Arithmétique
Bonjour Thomas,
la présentation de ton résultat est pas tout à fait rigoureuse.
\(6^n-1 = 5k\) avec k entier naturel
\(6^n-1+15 = 5k + 15\)
\(6^n+14 = 5(k+3)\) donc \(6^n+14\) est divisible par 5.
la présentation de ton résultat est pas tout à fait rigoureuse.
\(6^n-1 = 5k\) avec k entier naturel
\(6^n-1+15 = 5k + 15\)
\(6^n+14 = 5(k+3)\) donc \(6^n+14\) est divisible par 5.
