intégrales
-
lea
Re: intégrales
Je trouve (1+sin(2x))/2
-
sos-math(20)
- Messages : 2461
- Enregistré le : lun. 5 juil. 2010 13:47
Re: intégrales
Ce n'est pas tout à fait correct : utilise la dernière écriture que je t'ai donnée.
\(\frac{1}{2}\) a pour primitive ......
cos(2x) a bien pour primitive \(\frac{1}{2}sin(2x)\) donc \(\frac{1}{2}cos(2x)\) a pour primitive ...
SOSmath
\(\frac{1}{2}\) a pour primitive ......
cos(2x) a bien pour primitive \(\frac{1}{2}sin(2x)\) donc \(\frac{1}{2}cos(2x)\) a pour primitive ...
SOSmath
-
lea
Re: intégrales
Je n'arrive pas a comprendre la primitive de 1/2
-
lea
Re: intégrales
Si 1/2 a pour primitive 1/2x j'ai fais avec ça et j'ai trouvé pi/4 est ce que c'est bon ???
-
sos-math(27)
- Messages : 1427
- Enregistré le : ven. 20 juin 2014 15:58
Re: intégrales
Reprenons :
On a : \(f(x)=cos^2(x)=\frac{1}{2}+\frac{1}{2} \times cos(2x)\)
et donc la primitive est : \(F(x)=\frac{1}{2}x+\frac{1}{2} \times \frac{1}{2}sin(2x)\)
\(F(0)=0\)et \(F(\frac{\pi}{2})=\frac{\pi}{4}\) donc ton résultat est correct !
à bientôt
On a : \(f(x)=cos^2(x)=\frac{1}{2}+\frac{1}{2} \times cos(2x)\)
et donc la primitive est : \(F(x)=\frac{1}{2}x+\frac{1}{2} \times \frac{1}{2}sin(2x)\)
\(F(0)=0\)et \(F(\frac{\pi}{2})=\frac{\pi}{4}\) donc ton résultat est correct !
à bientôt
-
lea
Re: intégrales
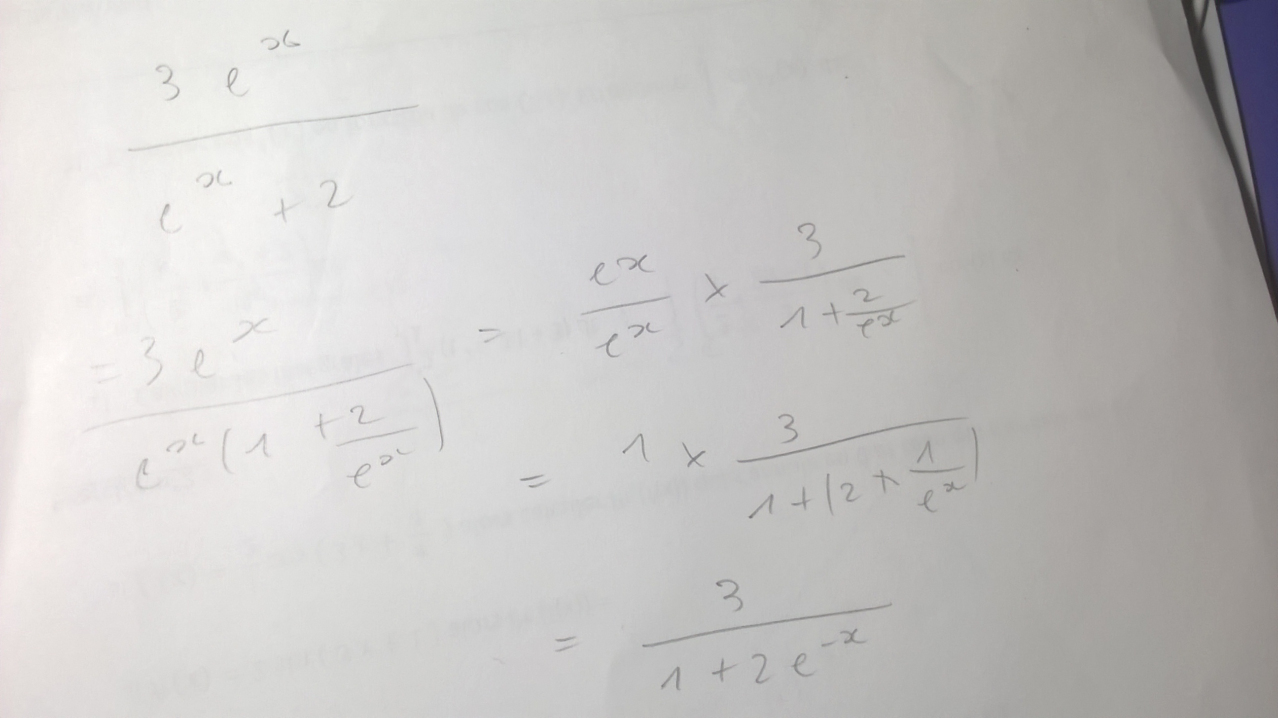
D'accord merci par contre j'ai une dernière question c'est pour la dernière intégrale de la question 1 je n'arrive pas a faire la primitive de 3e^x/e^x+2 j'ai essayé de transformer la forme mais je tourne en rond
-
sos-math(27)
- Messages : 1427
- Enregistré le : ven. 20 juin 2014 15:58
Re: intégrales
Il faut encore reconnaître une forme u'/u, il n'y a pas d'autre possibilité.
à bientôt
à bientôt
-
lea
Re: intégrales
Est ce que mettre le e^x en facteur est une bonne méthode ??
-
sos-math(20)
- Messages : 2461
- Enregistré le : lun. 5 juil. 2010 13:47
Re: intégrales
Bonsoir Léa, mettre \(e^x\) en facteur n'est pas ici une bonne méthode, c'est utile pour le calcul des limites mais pas pour le calcul de primitives.
Comme te l'a indiqué mon collègue avant moi, tu dois reconnaître la forme \(\frac{u'}{u}\) dont tu doit savoir qu'une primitive est ln(u).
SOSmath
Comme te l'a indiqué mon collègue avant moi, tu dois reconnaître la forme \(\frac{u'}{u}\) dont tu doit savoir qu'une primitive est ln(u).
SOSmath
-
lea
Re: intégrales
D'accord merci
