intégration par partie
-
SoS-Math(4)
- Messages : 2724
- Enregistré le : mer. 5 sept. 2007 12:12
Re: intégration par partie
Bonjour Eric,
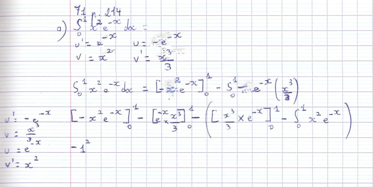
Il y a une erreur pour V '.
Il faut recommencer.
sosmaths
Il y a une erreur pour V '.
Il faut recommencer.
sosmaths
Re: intégration par partie
Pourtant, la primitive de x^n+1/(n+1) c'est x^n?
Re: intégration par partie
Pourtant, la primitive de x^n+1/(n+1) c'est x^n?
-
SoS-Math(4)
- Messages : 2724
- Enregistré le : mer. 5 sept. 2007 12:12
Re: intégration par partie
c'est la dérivée que tu cherches.
sosmaths
sosmaths
-
SoS-Math(4)
- Messages : 2724
- Enregistré le : mer. 5 sept. 2007 12:12
Re: intégration par partie
c'est bien commencé, mais il y a une deuxième intégration par partie.
Il faut être ordonné dans ton calcul.
je ne comprends ce que vient faire le deuxième crochet avec x^3/3.
Essaye d'arranger ça sinon le reste semble bon.
Remets tout ça plus proprement.
sosmaths
Il faut être ordonné dans ton calcul.
je ne comprends ce que vient faire le deuxième crochet avec x^3/3.
Essaye d'arranger ça sinon le reste semble bon.
Remets tout ça plus proprement.
sosmaths
