ex fonction exponentielles
-
Yessine
ex fonction exponentielles
Bonjour,
Ex: je ne comprends pas la correction de question 5) malgré qu'il a corrigé par deux méthodes : pouvez vous m'aider?
Merci d'avance
Ex: je ne comprends pas la correction de question 5) malgré qu'il a corrigé par deux méthodes : pouvez vous m'aider?
Merci d'avance
-
sos-math(21)
- Messages : 10401
- Enregistré le : lun. 30 août 2010 11:15
Re: ex fonction exponentielles
Bonjour
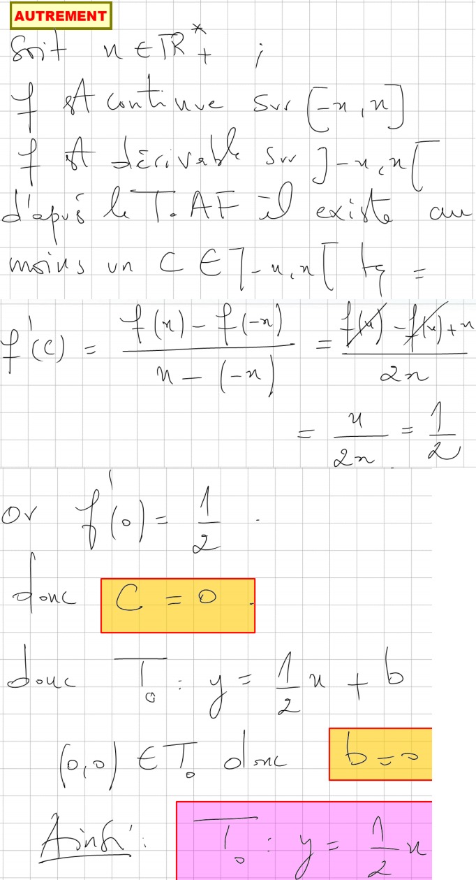
Pour réussir un problème de maths, il faut toujours garder à l’esprit qu’un problème constitué de plusieurs questions correspond à une construction progressive dans laquelle les questions s’alimentent mutuellement : le résultat d’une question peut servir dans une question ultérieure.
Ici, on parle de parallélisme de droites dans un repère donc on peut penser à l’égalité des pentes.
Or la pente \((MM’)\) vaut \(\dfrac{f(x)-f(x)+x}{x-(-x)}=\dfrac{x}{2x}=0{,}5\) d’après la question 3a.
Cette valeur étant atteinte t par f’(x) en 0, on retrouve l’équation de la tangente.
La deuxième méthode utilise le théorème des accroissements finis : c’est plus une méthode de sup alors que la précédente est envisageable en terminale.
Est-ce plus clair ?
Bonne continuation
Pour réussir un problème de maths, il faut toujours garder à l’esprit qu’un problème constitué de plusieurs questions correspond à une construction progressive dans laquelle les questions s’alimentent mutuellement : le résultat d’une question peut servir dans une question ultérieure.
Ici, on parle de parallélisme de droites dans un repère donc on peut penser à l’égalité des pentes.
Or la pente \((MM’)\) vaut \(\dfrac{f(x)-f(x)+x}{x-(-x)}=\dfrac{x}{2x}=0{,}5\) d’après la question 3a.
Cette valeur étant atteinte t par f’(x) en 0, on retrouve l’équation de la tangente.
La deuxième méthode utilise le théorème des accroissements finis : c’est plus une méthode de sup alors que la précédente est envisageable en terminale.
Est-ce plus clair ?
Bonne continuation
-
Yessine
Re: ex fonction exponentielles
merci beaucoup c'est plus clair
-
sos-math(21)
- Messages : 10401
- Enregistré le : lun. 30 août 2010 11:15
Re: ex fonction exponentielles
Très bien
Bonne continuation et à bientôt sur sos math
Bonne continuation et à bientôt sur sos math
