ex arithmetique
-
Yessine
ex arithmetique
Bonjour,
Ex: dans la correction de question 3)b) je ne comprends pas cette partie : pouvez vous m'aider?
Merci d'avance
Ex: dans la correction de question 3)b) je ne comprends pas cette partie : pouvez vous m'aider?
Merci d'avance
-
sos-math(21)
- Messages : 10401
- Enregistré le : lun. 30 août 2010 11:15
Re: ex arithmetique
Bonjour,
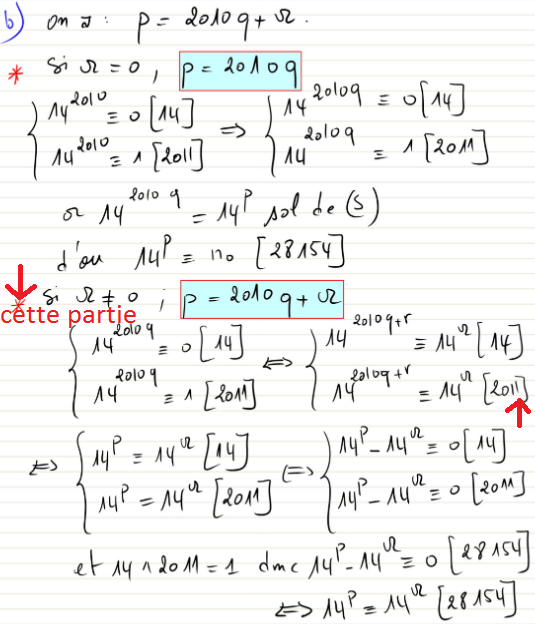
la division euclidienne d'un entier \(p\) par 2010 assure qu'il existe \((q,r)\in\mathbb{N}\times \mathbb{N}\) tels que \(p=2010q+r\).
Comme \(14\equiv 0\,[14]\), on a bien \(14^{2010}\equiv 0 [14]\) (propriété des congruences : pour tout entier non nul \(m\) et \(n\), si \(a\equiv b [n]\), alors \(a^m\equiv b^m \,[n]\))
Comme 14 est solution du système S, on a aussi \(14\equiv 1\,[2011]\) donc \(14^{2010}\equiv 1^{2010}\equiv 1 \, [2011]\) donc en passant à la puissance \(q\), on a bien le système \(\left\lbrace\begin{array}{rcl}14^{2010q}&\equiv &0\,[14]\\14^{2010q}&\equiv & 1\,[2011]\end{array}\right.\)
En multipliant par \(14^r\), on a le système suivant
\(\left\lbrace\begin{array}{rcl}14^{2010q}\times 14^r&\equiv &0\times 14^r\,[14]\\14^{2010q}\times 14^r&\equiv & 1\times 14^r\,[2011]\end{array}\right.\) (propriété des congruences : si \(a\equiv b [n]\), alors \(ka\equiv kb \,[n]\))
soit en regroupant :
\(\left\lbrace\begin{array}{rcl}14^{2010q+r}&\equiv &0(\equiv 14^r)\,[14]\\14^{2010q+r}&\equiv & 14^r\,[2011]\end{array}\right.\)
soit en reprenant \(p=2010q+r\), on a :
\(\left\lbrace\begin{array}{rcl}14^{p}&\equiv &0(\equiv 14^r)\,[14]\\14^{p}&\equiv & 14^r\,\,[2011]\end{array}\right.\)
donc en passant tout à gauche, on a \(\left\lbrace\begin{array}{rcl}14^{p}-14^r&\equiv &0\,[14]\\14^{p}-14^r&\equiv & 0\,\,[2011]\end{array}\right.\) donc \(14|14^p-14^r\) et \(2011|14^p-14^r\).
Comme 14 et 2011 sont premiers entre eux, leur produit (qui vaut \(2011\times 14=28\,154\)) divise donc \(14^p-14^r\) donc \(14^p-14^r\equiv 0 \,[28154]\) donc en repassant à droite, on a \(14\equiv 14^r\,[28154]\).
Est-ce plus clair ?
la division euclidienne d'un entier \(p\) par 2010 assure qu'il existe \((q,r)\in\mathbb{N}\times \mathbb{N}\) tels que \(p=2010q+r\).
Comme \(14\equiv 0\,[14]\), on a bien \(14^{2010}\equiv 0 [14]\) (propriété des congruences : pour tout entier non nul \(m\) et \(n\), si \(a\equiv b [n]\), alors \(a^m\equiv b^m \,[n]\))
Comme 14 est solution du système S, on a aussi \(14\equiv 1\,[2011]\) donc \(14^{2010}\equiv 1^{2010}\equiv 1 \, [2011]\) donc en passant à la puissance \(q\), on a bien le système \(\left\lbrace\begin{array}{rcl}14^{2010q}&\equiv &0\,[14]\\14^{2010q}&\equiv & 1\,[2011]\end{array}\right.\)
En multipliant par \(14^r\), on a le système suivant
\(\left\lbrace\begin{array}{rcl}14^{2010q}\times 14^r&\equiv &0\times 14^r\,[14]\\14^{2010q}\times 14^r&\equiv & 1\times 14^r\,[2011]\end{array}\right.\) (propriété des congruences : si \(a\equiv b [n]\), alors \(ka\equiv kb \,[n]\))
soit en regroupant :
\(\left\lbrace\begin{array}{rcl}14^{2010q+r}&\equiv &0(\equiv 14^r)\,[14]\\14^{2010q+r}&\equiv & 14^r\,[2011]\end{array}\right.\)
soit en reprenant \(p=2010q+r\), on a :
\(\left\lbrace\begin{array}{rcl}14^{p}&\equiv &0(\equiv 14^r)\,[14]\\14^{p}&\equiv & 14^r\,\,[2011]\end{array}\right.\)
donc en passant tout à gauche, on a \(\left\lbrace\begin{array}{rcl}14^{p}-14^r&\equiv &0\,[14]\\14^{p}-14^r&\equiv & 0\,\,[2011]\end{array}\right.\) donc \(14|14^p-14^r\) et \(2011|14^p-14^r\).
Comme 14 et 2011 sont premiers entre eux, leur produit (qui vaut \(2011\times 14=28\,154\)) divise donc \(14^p-14^r\) donc \(14^p-14^r\equiv 0 \,[28154]\) donc en repassant à droite, on a \(14\equiv 14^r\,[28154]\).
Est-ce plus clair ?
-
Yessine
Re: ex arithmetique
Bonjour,
pourquoi \(14^{2010q+r}\equiv 0\equiv 14^{r}\) [14] ?
pourquoi \(14^{2010q+r}\equiv 0\equiv 14^{r}\) [14] ?
-
sos-math(21)
- Messages : 10401
- Enregistré le : lun. 30 août 2010 11:15
Re: ex arithmetique
Bonjour,
par définition d'une congruence, tu as bien \(14\equiv 0 \,[14]\) car 14 est divisible par 14 donc quand tu vas élever à n'importe quelle puissance tu auras encore \(14^m\equiv 0^m\equiv 0\,[14]\)
donc en élevant à la puissance \(2010q\) tu as \(14^{2010q}\equiv 0^{2010q}\equiv 0\,[14]\) puis en multipliant par \(14^r\) tu as :
\(14^{2010q}\times 14^r\equiv 0\times 14^r\,[14]\) qui donne \(14^{2010q+r}\equiv 0\,[14]\) mais on a aussi \(14^r\equiv 0\,[14]\) donc on peut aussi écrire l'égalité précédente sous la forme \(14^{2010q+r}\equiv 14^r\,[14]\), afin d'avoir la même forme que la congruence modulo 2011 et obtenir la divisibilité de la différence par 14 et par 11.
Mais on aurait pu aller plus vite en disant directement que \(14^{2010q+r}-14^r\) est divisible par 14 comme différence de deux multiples de 14 et même encore plus rapide \(14^p-14^r\) divisible par 14 comme différence de deux multiples de 14.
L'avantage de la correction présentée comme dans le corrigé est qu'elle permet d'appliquer le même traitement au système complet, c'est peut-être plus élégant.
Est-ce plus clair ?
Bonne continuation
par définition d'une congruence, tu as bien \(14\equiv 0 \,[14]\) car 14 est divisible par 14 donc quand tu vas élever à n'importe quelle puissance tu auras encore \(14^m\equiv 0^m\equiv 0\,[14]\)
donc en élevant à la puissance \(2010q\) tu as \(14^{2010q}\equiv 0^{2010q}\equiv 0\,[14]\) puis en multipliant par \(14^r\) tu as :
\(14^{2010q}\times 14^r\equiv 0\times 14^r\,[14]\) qui donne \(14^{2010q+r}\equiv 0\,[14]\) mais on a aussi \(14^r\equiv 0\,[14]\) donc on peut aussi écrire l'égalité précédente sous la forme \(14^{2010q+r}\equiv 14^r\,[14]\), afin d'avoir la même forme que la congruence modulo 2011 et obtenir la divisibilité de la différence par 14 et par 11.
Mais on aurait pu aller plus vite en disant directement que \(14^{2010q+r}-14^r\) est divisible par 14 comme différence de deux multiples de 14 et même encore plus rapide \(14^p-14^r\) divisible par 14 comme différence de deux multiples de 14.
L'avantage de la correction présentée comme dans le corrigé est qu'elle permet d'appliquer le même traitement au système complet, c'est peut-être plus élégant.
Est-ce plus clair ?
Bonne continuation
-
Yessine
Re: ex arithmetique
Super merci beaucoup c'est plus clair !
-
SoS-Math(33)
- Messages : 3588
- Enregistré le : ven. 25 nov. 2016 14:24
Re: ex arithmetique
L'essentiel c'est que l'explication soit plus claire
Bonne journée
A bientôt sur le forum
SoSmath
Bonne journée
A bientôt sur le forum
SoSmath
-
Yessine
Re: ex arithmetique
Désolé j'ajoute encore une question :
Je ne comprends pas la correction de la question 3)d) : Voilà désolé de vous poser autant de questions ça me gène beaucoup mais vous me fait énormément progresser !
Je ne comprends pas la correction de la question 3)d) : Voilà désolé de vous poser autant de questions ça me gène beaucoup mais vous me fait énormément progresser !
-
sos-math(21)
- Messages : 10401
- Enregistré le : lun. 30 août 2010 11:15
Re: ex arithmetique
Bonjour,
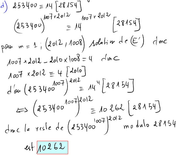
Tu as facilement : \(253\,400\equiv 14\,[28154]\) donc en passant à la puissance \(1007\times 2012\) tu as \((253\,400^{1007})^{2012}\equiv 14^{1007\times 2012}\,[28154]\).
Or tu sais d'après la question c) que pour tout entier \(m\) (1007(2010m+2-2010(1007m+1)=4\) en particulier pour \(m=1\), cela te donne \(1007\times 2012-2010\times 1008=4\) donc en passant au modulo 2010 dans cette égalité, tu as \(1007\times 2012 \equiv 4\,[2010]\).
Mais d'après la question b, on sait que si on considère le reste de la division euclidienne d' un entier \(p=1007\times 2012\) par \(2010\) (on sait que celui-ci vaut 4 d'après ce qu'on vient de dire), comme il est non nul, on a \(14^p\equiv 14^r\,[28154]\) d'après la question b, donc \(14^{1007\times 2012}\equiv 14^4\,[28154]\)
Finalement, on a l'enchainement de congruences \((253\,400^{1007})^{2012}\equiv 14^{1007\times 2012}\equiv 14^4\,[28154]\).
Comme \(14^4=38\,416\) et on a \(38\,416\equiv 10\,262\,[28154]\), ce qui donne bien \((253\,400^{1007})^{2012}\equiv 10\,262\,[28154]\).
Est-ce plus clair ?
Bonne continuation
Tu as facilement : \(253\,400\equiv 14\,[28154]\) donc en passant à la puissance \(1007\times 2012\) tu as \((253\,400^{1007})^{2012}\equiv 14^{1007\times 2012}\,[28154]\).
Or tu sais d'après la question c) que pour tout entier \(m\) (1007(2010m+2-2010(1007m+1)=4\) en particulier pour \(m=1\), cela te donne \(1007\times 2012-2010\times 1008=4\) donc en passant au modulo 2010 dans cette égalité, tu as \(1007\times 2012 \equiv 4\,[2010]\).
Mais d'après la question b, on sait que si on considère le reste de la division euclidienne d' un entier \(p=1007\times 2012\) par \(2010\) (on sait que celui-ci vaut 4 d'après ce qu'on vient de dire), comme il est non nul, on a \(14^p\equiv 14^r\,[28154]\) d'après la question b, donc \(14^{1007\times 2012}\equiv 14^4\,[28154]\)
Finalement, on a l'enchainement de congruences \((253\,400^{1007})^{2012}\equiv 14^{1007\times 2012}\equiv 14^4\,[28154]\).
Comme \(14^4=38\,416\) et on a \(38\,416\equiv 10\,262\,[28154]\), ce qui donne bien \((253\,400^{1007})^{2012}\equiv 10\,262\,[28154]\).
Est-ce plus clair ?
Bonne continuation
-
Yessine
Re: ex arithmetique
Bonjour,
pourquoi \(253400\equiv 14\)[28154] ?
pourquoi \(253400\equiv 14\)[28154] ?
-
sos-math(21)
- Messages : 10401
- Enregistré le : lun. 30 août 2010 11:15
Re: ex arithmetique
Bonjour,
la division euclidienne de \(253\,400\) par \(28\,154\) donne \(253\,400=28\,154\times9+14\) donc le reste de cette division euclidienne est 14, ce qui donne la classe d'équivalence pour la congruence : \(253\,400\equiv 14\,[28\,154]\).
Bonne continuation
la division euclidienne de \(253\,400\) par \(28\,154\) donne \(253\,400=28\,154\times9+14\) donc le reste de cette division euclidienne est 14, ce qui donne la classe d'équivalence pour la congruence : \(253\,400\equiv 14\,[28\,154]\).
Bonne continuation
