Suite de nombre
-
David
Suite de nombre
Bonjour,
J'ai un DM de math qui me perturbe un peu.
En voici l'énoncé :
Quatres figures fournissent les quatre premiers nombres octogonaux
1, 8, 21 et 40 : chaque nombre octogonal est le nombre de points dans la figure
correspondante. Quel est le 10ème nombre octogonal ?
Nous devons donc trouver une formule pour le terme général et aussi le 10eme terme de cette suite.
Merci d'avance pour votre aide.
J'ai un DM de math qui me perturbe un peu.
En voici l'énoncé :
Quatres figures fournissent les quatre premiers nombres octogonaux
1, 8, 21 et 40 : chaque nombre octogonal est le nombre de points dans la figure
correspondante. Quel est le 10ème nombre octogonal ?
Nous devons donc trouver une formule pour le terme général et aussi le 10eme terme de cette suite.
Merci d'avance pour votre aide.
-
sos-math(21)
- Messages : 10401
- Enregistré le : lun. 30 août 2010 11:15
Re: Suite de nombre
Bonjour,
la suite des nombres octogonaux est une suite classique que l'on peut trouver sur le web.
Je te conseille d'aller voir la page : https://oeis.org/A000567
Ainsi qu'un document qui généralise le calcul des suites nombres polygonaux : https://www.amq.math.ca/ancien/bulletins/oct06/Nombrespolygonaux.pdf
ou encore cet article : https://www.apmep.fr/IMG/pdf/AAA08094.pdf
Pour comprendre le mécanisme de récurrence, tu peux regarder ce qu'on ajoute d'un terme de la suite au suivant : +7, +13, +19, +25... On remarque que l'on augmente de 6 le nombre à ajouter à chaque rang. Donc pour celui d'après on ajoutera 25+6=31 au terme 65, et on aura 96.
Pour une formule explicite, on a, en partant de \(a_0=0\) le terme de rang \(n\) qui est donné par \(a_n=n\times(3n-2)\).
Bonne continuation
la suite des nombres octogonaux est une suite classique que l'on peut trouver sur le web.
Je te conseille d'aller voir la page : https://oeis.org/A000567
Ainsi qu'un document qui généralise le calcul des suites nombres polygonaux : https://www.amq.math.ca/ancien/bulletins/oct06/Nombrespolygonaux.pdf
ou encore cet article : https://www.apmep.fr/IMG/pdf/AAA08094.pdf
Pour comprendre le mécanisme de récurrence, tu peux regarder ce qu'on ajoute d'un terme de la suite au suivant : +7, +13, +19, +25... On remarque que l'on augmente de 6 le nombre à ajouter à chaque rang. Donc pour celui d'après on ajoutera 25+6=31 au terme 65, et on aura 96.
Pour une formule explicite, on a, en partant de \(a_0=0\) le terme de rang \(n\) qui est donné par \(a_n=n\times(3n-2)\).
Bonne continuation
-
David
Re: Suite de nombre
Bonjour,
Merci pour votre réponse mais je dois aussi démontrer la démarche que j'ai utilisé, je dois donc trouver un raisonnement me permettant d'arriver à la formule An = n × (3n -2)
Et je ne sais pas comment prouver cela
Merci pour votre réponse mais je dois aussi démontrer la démarche que j'ai utilisé, je dois donc trouver un raisonnement me permettant d'arriver à la formule An = n × (3n -2)
Et je ne sais pas comment prouver cela
-
sos-math(21)
- Messages : 10401
- Enregistré le : lun. 30 août 2010 11:15
Re: Suite de nombre
Bonjour,
dans l'article que je t'ai envoyé :
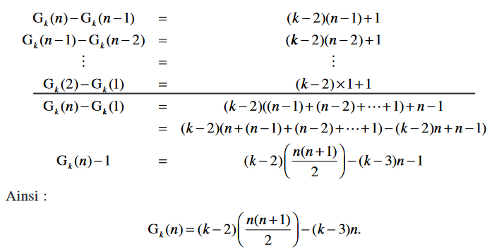
on a une preuve dans le cas général : https://www.apmep.fr/IMG/pdf/AAA08094.pdf Il te suffit de t'en inspirer en prenant \(k=8\) et de faire des sommes télescopiques.
En partant de \(a_0=0\), on a \(a_{n+1}=a_n+6n+1\), d'après ce que j'ai déjà dit.
On a donc pour tout entier \(n\) \(a_{n+1}-a_n=6n+1\), en écrivant ces inégalités en cascade :
au rang n-1 : \(a_n-a_{n-1}=6(n-1)+1\)
au rang n-2 : \(a_{n-1}-a_{n-2}=6(n-2)+1\)
...
au rang 1 : \(a_1-a_0=6\times 0 + 1\)
Tu fais la somme de ces inégalités, il y a des termes qui se simplifient deux à deux.
Je ne vois pas d'autre moyen simple pour le niveau première.
Bonne continuation
dans l'article que je t'ai envoyé :
on a une preuve dans le cas général : https://www.apmep.fr/IMG/pdf/AAA08094.pdf Il te suffit de t'en inspirer en prenant \(k=8\) et de faire des sommes télescopiques.
En partant de \(a_0=0\), on a \(a_{n+1}=a_n+6n+1\), d'après ce que j'ai déjà dit.
On a donc pour tout entier \(n\) \(a_{n+1}-a_n=6n+1\), en écrivant ces inégalités en cascade :
au rang n-1 : \(a_n-a_{n-1}=6(n-1)+1\)
au rang n-2 : \(a_{n-1}-a_{n-2}=6(n-2)+1\)
...
au rang 1 : \(a_1-a_0=6\times 0 + 1\)
Tu fais la somme de ces inégalités, il y a des termes qui se simplifient deux à deux.
Je ne vois pas d'autre moyen simple pour le niveau première.
Bonne continuation
