fonction exponentielle
-
hervé
fonction exponentielle
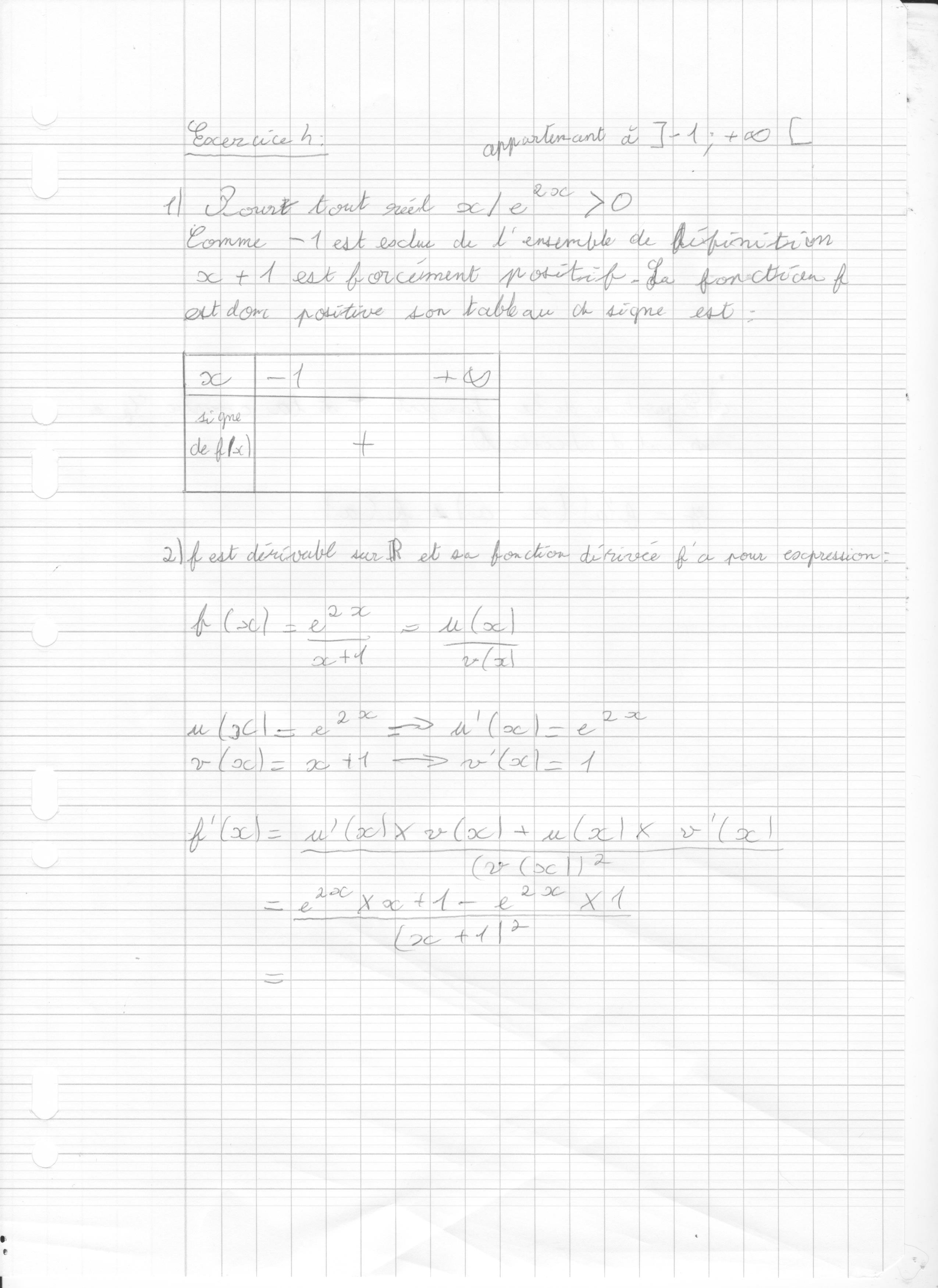
Bonjour j'ai commencé cet exercice mais je n'arrive pas à dériver la fonction exponentielle pourriez-vous m'aider s'il vous plaît.Merci.
-
sos-math(21)
- Messages : 10401
- Enregistré le : lun. 30 août 2010 11:15
Re: fonction exponentielle
Bonjour,
tu as bien posé tes deux fonctions définissant le quotient \(u(x)=\text{e}^{2x}\) et \(v(x)=x+1\).
Il y a une erreur dans la dérivée de \(u\) qui est de la forme \(\text{e}^{f}\) qui se dérive en \(\left(\text{e}^{f}\right)'=f'\times \text{e}^f\)
Donc \(u'(x)=2\text{e}^{2x}\).
Reprends le calcul de ta dérivée, il faudra ensuite arranger le numérateur en factorisant par \(\text{e}^{2x}\).
Tu devrais trouver \(f'(x)=\dfrac{u'(x)v(x)-u(x)v'(x)}{v^{2}(x)}=\dfrac{2\underline{\text{e}^{2x}}\times (x+1)-1\times\underline{\text{e}^{2x}}}{(x+1)^2}=\dfrac{\text{e}^{2x}(\ldots)}{(x+1)^2}\)
Sachant que \((x+1)^2>0\) et \(\text{e}^{2x}>0\) sur \(]-1\,;\,+\infty[\), le signe de \(f'(x)\) est celui de ton terme entre parenthèses.
Bon calcul
tu as bien posé tes deux fonctions définissant le quotient \(u(x)=\text{e}^{2x}\) et \(v(x)=x+1\).
Il y a une erreur dans la dérivée de \(u\) qui est de la forme \(\text{e}^{f}\) qui se dérive en \(\left(\text{e}^{f}\right)'=f'\times \text{e}^f\)
Donc \(u'(x)=2\text{e}^{2x}\).
Reprends le calcul de ta dérivée, il faudra ensuite arranger le numérateur en factorisant par \(\text{e}^{2x}\).
Tu devrais trouver \(f'(x)=\dfrac{u'(x)v(x)-u(x)v'(x)}{v^{2}(x)}=\dfrac{2\underline{\text{e}^{2x}}\times (x+1)-1\times\underline{\text{e}^{2x}}}{(x+1)^2}=\dfrac{\text{e}^{2x}(\ldots)}{(x+1)^2}\)
Sachant que \((x+1)^2>0\) et \(\text{e}^{2x}>0\) sur \(]-1\,;\,+\infty[\), le signe de \(f'(x)\) est celui de ton terme entre parenthèses.
Bon calcul
-
hervé
Re: fonction exponentielle
Je n'arrive pas a effectué la factorisation
-
sos-math(21)
- Messages : 10401
- Enregistré le : lun. 30 août 2010 11:15
Re: fonction exponentielle
Bonjour,
je reprends mon précédent message :
\(f'(x)=\dfrac{u'(x)v(x)-u(x)v'(x)}{v^{2}(x)}=\dfrac{2\underline{\text{e}^{2x}}\times (x+1)-1\times\underline{\text{e}^{2x}}}{(x+1)^2}\)
J'ai souligné le facteur commun \(\text{e}^{2x}\) que je réécris une seule fois au numérateur puis je mets entre parenthèses les facteurs venant de chaque terme :
\(f'(x)=\dfrac{\text{e}^{2x}[2(x+1)-1]}{(x+1)^2}\)
Il reste ensuite à développer et réduire ce qu'il y a entre parenthèses et tu dois trouver :
\(f'(x)=\dfrac{\text{e}^{2x}(2x+2-1)}{(x+1)^2}=\dfrac{\text{e}^{2x}(2x+1)}{(x+1)^2}\)
Bonne suite d'exercice
je reprends mon précédent message :
\(f'(x)=\dfrac{u'(x)v(x)-u(x)v'(x)}{v^{2}(x)}=\dfrac{2\underline{\text{e}^{2x}}\times (x+1)-1\times\underline{\text{e}^{2x}}}{(x+1)^2}\)
J'ai souligné le facteur commun \(\text{e}^{2x}\) que je réécris une seule fois au numérateur puis je mets entre parenthèses les facteurs venant de chaque terme :
\(f'(x)=\dfrac{\text{e}^{2x}[2(x+1)-1]}{(x+1)^2}\)
Il reste ensuite à développer et réduire ce qu'il y a entre parenthèses et tu dois trouver :
\(f'(x)=\dfrac{\text{e}^{2x}(2x+2-1)}{(x+1)^2}=\dfrac{\text{e}^{2x}(2x+1)}{(x+1)^2}\)
Bonne suite d'exercice
-
hervé
Re: fonction exponentielle
2x+1 est positif?
-
sos-math(21)
- Messages : 10401
- Enregistré le : lun. 30 août 2010 11:15
Re: fonction exponentielle
Bonjour,
\(2x+1\) n'est pas toujours positif, cela dépend des valeurs de \(x\).
Il faut résoudre l'inéquation \(2x+1>0\) pour connaitre l'intervalle sur lequel cette expression est positive.
À toi de la faire.
Bonne continuation
\(2x+1\) n'est pas toujours positif, cela dépend des valeurs de \(x\).
Il faut résoudre l'inéquation \(2x+1>0\) pour connaitre l'intervalle sur lequel cette expression est positive.
À toi de la faire.
Bonne continuation
-
hervé
-
sos-math(21)
- Messages : 10401
- Enregistré le : lun. 30 août 2010 11:15
Re: fonction exponentielle
Bonjour,
juste une remarque, tu as résolu une inéquation donc ton expression est positive (tu as mis l'expression est croissante).
Pour le tableau, la borne \(-1\) est une valeur interdite donc on met des doubles barres dans le tableau. Et il faut penser à mettre l'image de \(\dfrac{-1}{2}\) afin de compléter celui-ci : Bonne conclusion
juste une remarque, tu as résolu une inéquation donc ton expression est positive (tu as mis l'expression est croissante).
Pour le tableau, la borne \(-1\) est une valeur interdite donc on met des doubles barres dans le tableau. Et il faut penser à mettre l'image de \(\dfrac{-1}{2}\) afin de compléter celui-ci : Bonne conclusion
-
hervé
Re: fonction exponentielle
je n'arrive pas à trouver l'image de - 1 sur2 ave le e. et l'équation de la tangente est-elle bonne?
-
sos-math(21)
- Messages : 10401
- Enregistré le : lun. 30 août 2010 11:15
Re: fonction exponentielle
Bonjour,
l'équation de la tangente est correcte.
Pour le calcul de l'image, tu as \(f(-0,5)=\dfrac{\text{e}^{2\times(-0,5)}}{-0,5+1}=\dfrac{\text{e}^{-1}}{0,5}=\dfrac{1}{0,5}\times \text{e}^{-1}=2\text{e}^{-1}\)
Tu peux aussi écrire cela sous la forme \(\text{e}^{-1}=\dfrac{1}{\text{e}^{1}}=\dfrac{1}{\text{e}}\) donc ton image peut aussi s'écrire sous la forme d'une fraction \(\dfrac{2}{\text{e}}\)
Bonne continuation
l'équation de la tangente est correcte.
Pour le calcul de l'image, tu as \(f(-0,5)=\dfrac{\text{e}^{2\times(-0,5)}}{-0,5+1}=\dfrac{\text{e}^{-1}}{0,5}=\dfrac{1}{0,5}\times \text{e}^{-1}=2\text{e}^{-1}\)
Tu peux aussi écrire cela sous la forme \(\text{e}^{-1}=\dfrac{1}{\text{e}^{1}}=\dfrac{1}{\text{e}}\) donc ton image peut aussi s'écrire sous la forme d'une fraction \(\dfrac{2}{\text{e}}\)
Bonne continuation
-
hervé
Re: fonction exponentielle
donc c'est a peu prés égal a 0.74.
-
sos-math(21)
- Messages : 10401
- Enregistré le : lun. 30 août 2010 11:15
Re: fonction exponentielle
Oui, c'est cela.
Habituellement (mais ce n'est pas une obligation), on laisse les valeurs exactes dans le tableau, lorsqu'elles sont assez simples.
Bonne continuation
Habituellement (mais ce n'est pas une obligation), on laisse les valeurs exactes dans le tableau, lorsqu'elles sont assez simples.
Bonne continuation
-
hervé
Re: fonction exponentielle
d'accord merci beaucoup
-
sos-math(21)
- Messages : 10401
- Enregistré le : lun. 30 août 2010 11:15
Re: fonction exponentielle
Je pense qu'on a fait le tour.
Est-ce que je peux verrouiller le sujet ?
Est-ce que je peux verrouiller le sujet ?
-
hervé
Re: fonction exponentielle
Oui pas de problème et encore merci.
