fonction exponentielle a dérivé

Retrouver tous les sujets résolus.
Répondre
Kévin

fonction exponentielle a dérivé

Message par Kévin » sam. 22 mai 2021 09:20

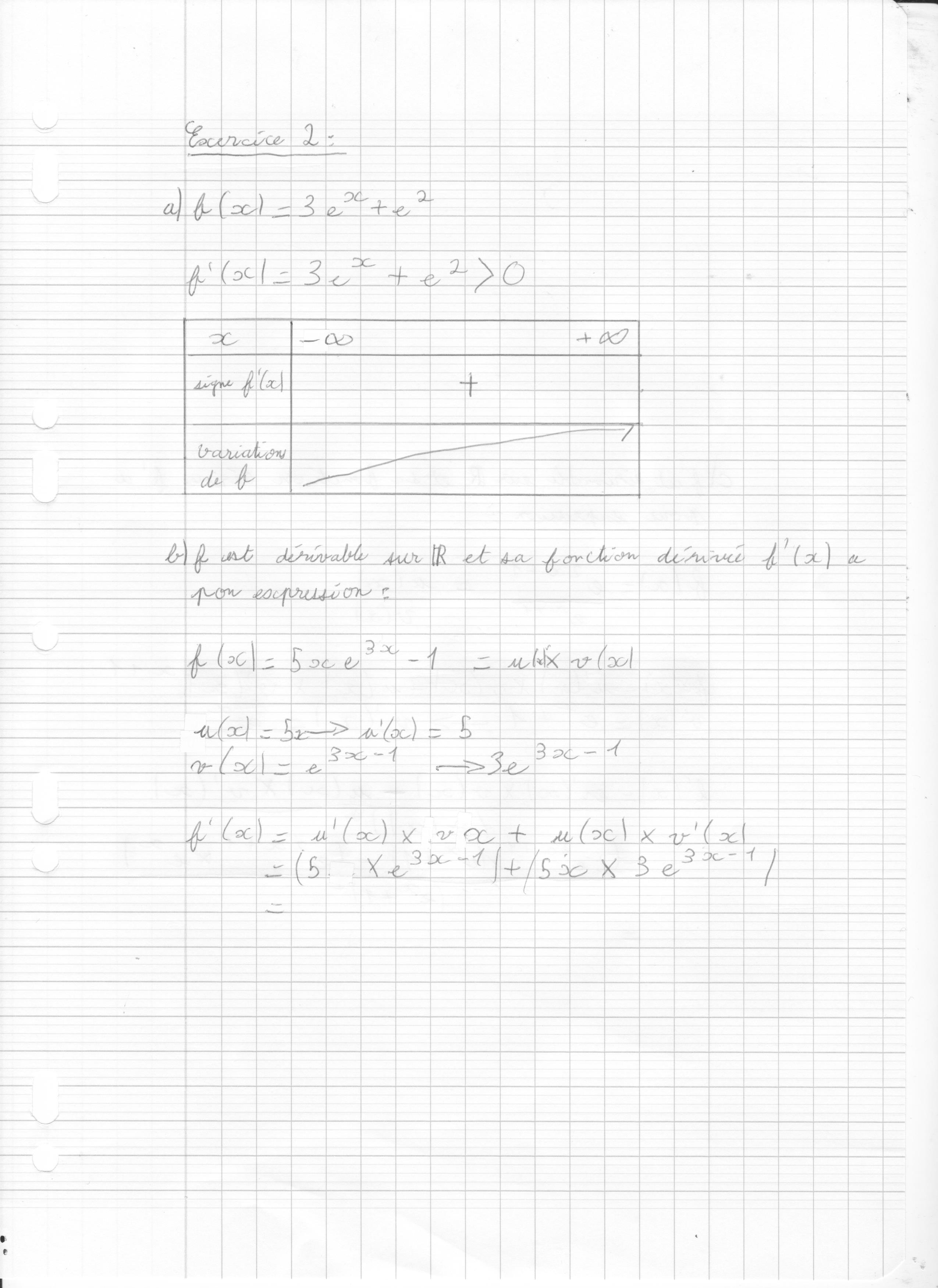
Bonjour j'ai un problème avec cet exercice pourriez vous m'aidez s'il vous plait. Merci d'avance je vous envoie ce que j'ai fait.
Fichiers joints
Image (323).jpg
Image (322).jpg
Image (321).jpg
SoS-Math(33)
Messages : 3588
Enregistré le : ven. 25 nov. 2016 14:24

Re: fonction exponentielle a dérivé

Message par SoS-Math(33) » sam. 22 mai 2021 09:46

Bonjour Kevin,
il y a une erreur sur ta première dérivée:
\((3e^x+e^2)'=3e^x\)
Pour le b) il faut terminer le calcul : \((15x+5)e^{3x-1}\)
Pour le c) il faut terminer le calcul : il faut mettre \(e^{2x+1}\) en facteur au numérateur
SoS-math
Kévin

Re: fonction exponentielle a dérivé

Message par Kévin » sam. 22 mai 2021 10:35

j'ai réussi à corriger la première mais je n'arrive pas à corriger les autres en faisant la factorisation pourriez-vous me donner les étapes s'il vous plaît
Fichiers joints
Image (329).jpg
SoS-Math(33)
Messages : 3588
Enregistré le : ven. 25 nov. 2016 14:24

Re: fonction exponentielle a dérivé

Message par SoS-Math(33) » sam. 22 mai 2021 11:09

Pour la question b) je t'ai donné le résultat factorisé.
Pour la question c)
\((\dfrac{e^{2x+1}}{e^x+1})' = \dfrac{2e^{2x+1}(e^x+1)-e^{2x+1}e^x}{(e^x+1)^2}\)
\( = \dfrac{e^{2x+1}(2e^x+2)-e^{2x+1}e^x}{(e^x+1)^2}\)
\(=\dfrac{e^{2x+1}(2e^x+2-e^x)}{(e^x+1)^2}\)
\(=\dfrac{e^{2x+1}(e^x+2)}{(e^x+1)^2}\)
SoS-math
Kévin

Re: fonction exponentielle a dérivé

Message par Kévin » sam. 22 mai 2021 11:15

D'accord j'ai compris donc il n'y a plus rien a faire pour la c?
SoS-Math(33)
Messages : 3588
Enregistré le : ven. 25 nov. 2016 14:24

Re: fonction exponentielle a dérivé

Message par SoS-Math(33) » sam. 22 mai 2021 11:23

Il te faut faire la deuxième partie de la question, en déduire le tableau de variations de la fonction.
Kévin

Re: fonction exponentielle a dérivé

Message par Kévin » sam. 22 mai 2021 15:49

voici ce que j'ai fait
Fichiers joints
Image (335).jpg
Image (334).jpg
Image (333).jpg
sos-math(21)
Messages : 10401
Enregistré le : lun. 30 août 2010 11:15

Re: fonction exponentielle a dérivé

Message par sos-math(21) » sam. 22 mai 2021 15:55

Bonjour,
tes démarches sont correctes et tes calculs me paraissent justes.
C'est du très bon travail.
Bonne continuation
Kévin

Re: fonction exponentielle a dérivé

Message par Kévin » sam. 22 mai 2021 15:57

Merci beaucoup
Répondre