fonction exponentielle

Retrouver tous les sujets résolus.
Verrouillé
hervé

fonction exponentielle

Message par hervé » sam. 22 mai 2021 09:10

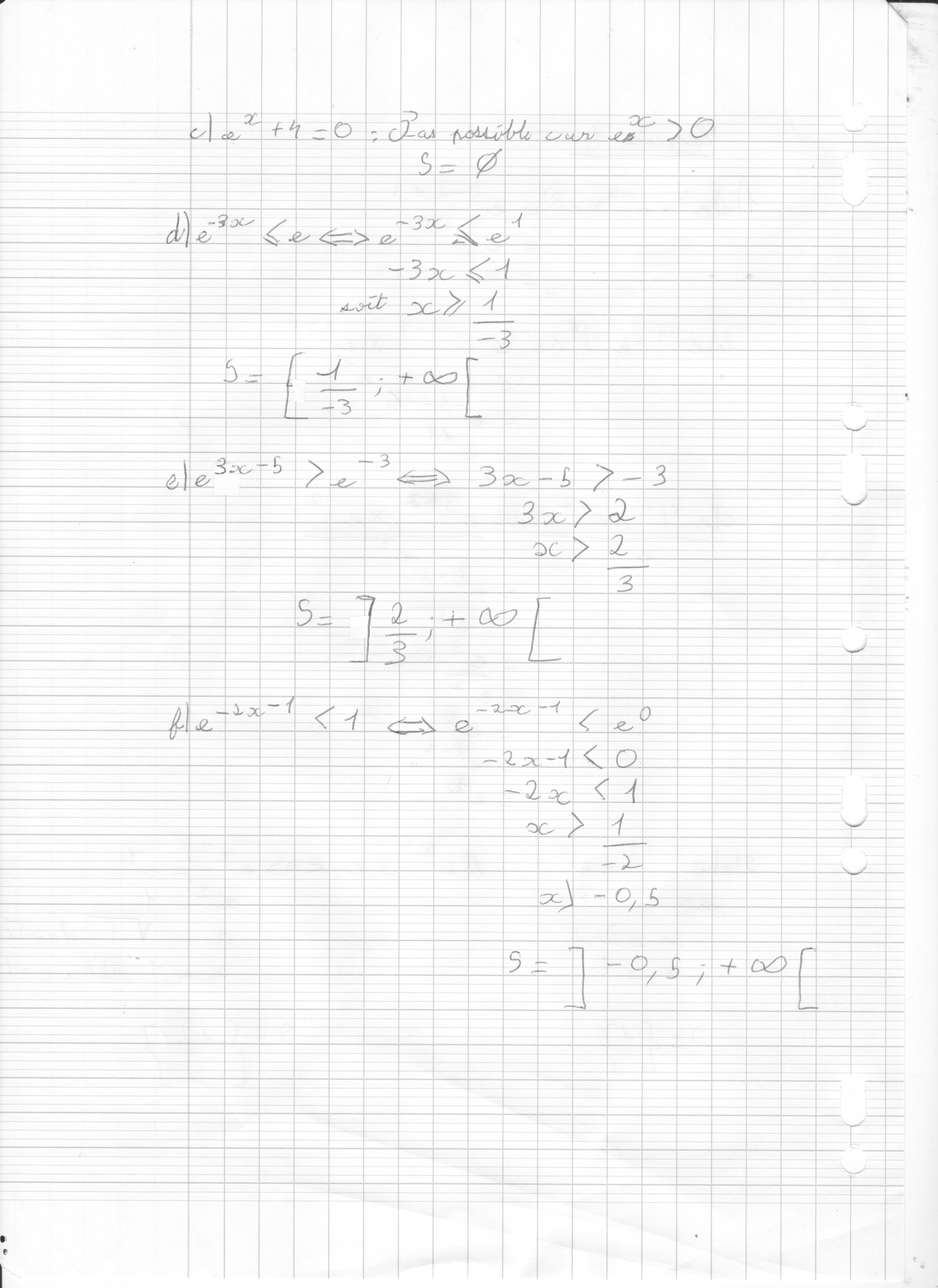
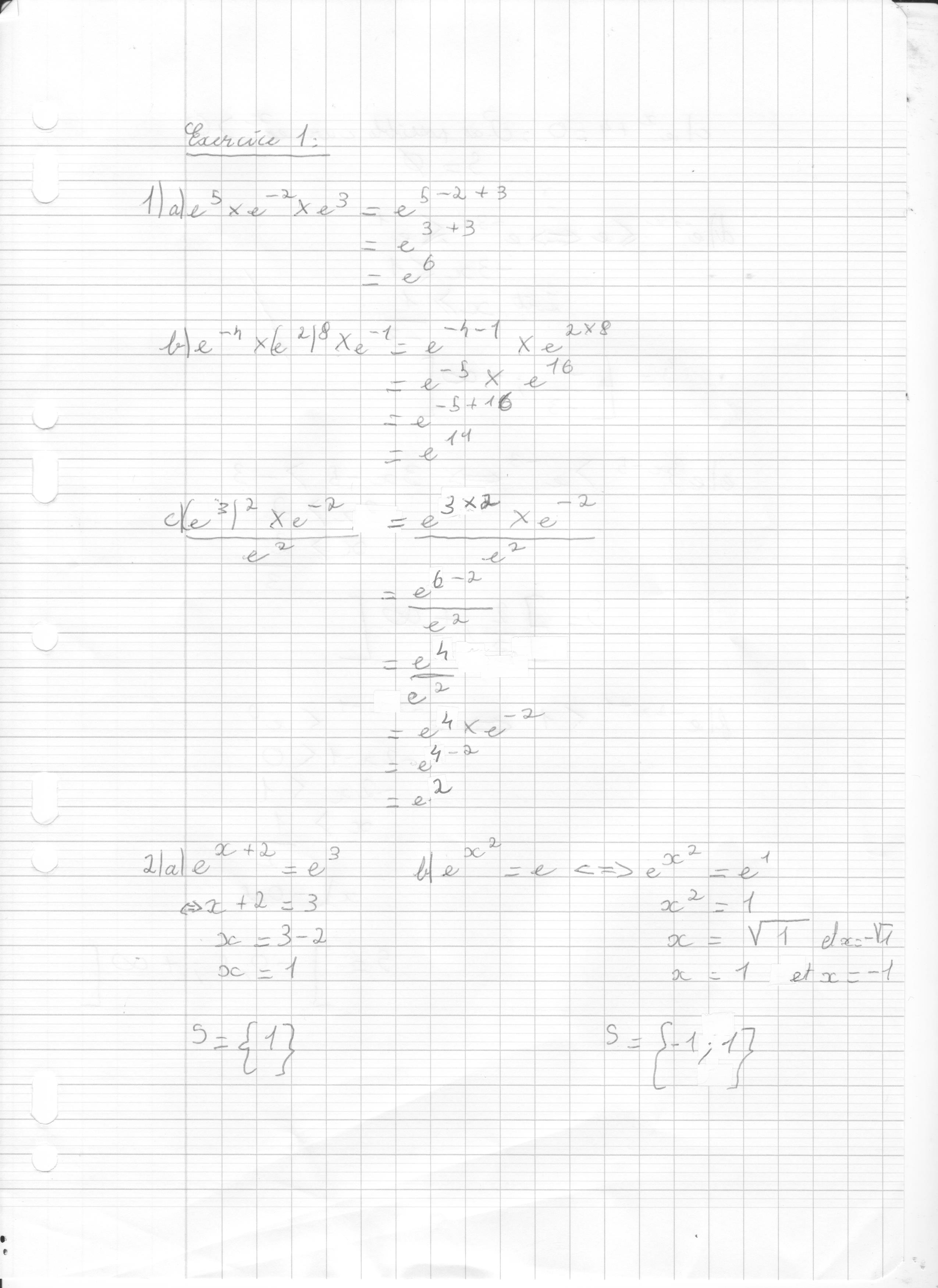
Bonjour pourriez vous me dire si ce que j'ai fait dans cet exercice est juste et assez complet. Merci d'avance
Fichiers joints
Image (320).jpg
Image (319).jpg
Image (318).jpg
sos-math(21)
Messages : 10401
Enregistré le : lun. 30 août 2010 11:15

Re: fonction exponentielle

Message par sos-math(21) » sam. 22 mai 2021 09:49

Bonjour,
pour les inéquations avec exponentielles, cela me semble correct. En terme de rédaction, tu peux simplement préciser que c'est la stricte monotonie de la fonction exponentielle (strictement croissante) qui assure l'équivalence \(\text{e}^{u}<\text{e}^{v}\Longleftrightarrow u<v\).
Pour les calculs avec exponentielles, il y a une erreur dans un calcul \(\left(\text{e}^3\right)^2\), ici les exposants se multiplient et toi tu as additionné car tu as écrit \(\text{e}^5\).
Puis dans la dernière équation \(\text{e}^{x^2}=\text{e}\), c'est bien équivalent à \(x^2=1\) mais cette équation n'a pas que \(1\) comme solution.
Là encore, en terme de rédaction, le passage de l'égalité entre exponentielle à l'égalité des exposants est assuré par la stricte monotonie de la fonction exponentielle : \(\text{e}^{u}=\text{e}^{v}\Longleftrightarrow u=v\).
Je te laisse chercher un peu.
Bonne continuation
hervé

Re: fonction exponentielle

Message par hervé » sam. 22 mai 2021 10:59

d'accord j'ai compris ai je tout corriger ?
Fichiers joints
Image (331).jpg
Image (330).jpg
sos-math(21)
Messages : 10401
Enregistré le : lun. 30 août 2010 11:15

Re: fonction exponentielle

Message par sos-math(21) » sam. 22 mai 2021 13:02

Bonjour,
oui, tu as tout corrigé, tout me semble correct à première vue.
Bonne continuation
hervé

Re: fonction exponentielle

Message par hervé » sam. 22 mai 2021 13:19

Merci beaucoup.
sos-math(21)
Messages : 10401
Enregistré le : lun. 30 août 2010 11:15

Re: fonction exponentielle

Message par sos-math(21) » sam. 22 mai 2021 14:00

Bonjour,
si tout est compris, je verrouille le sujet.
Bonne continuation
Verrouillé