Bonsoir
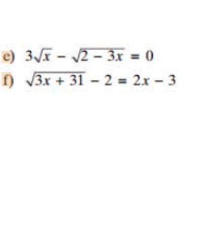
Alors pour la lettre f) je rencontre de la difficulté quand j’arrive à une fonction de degré deux mes zéros ne correspondent pas à celui trouve par le corrigé.
Voici ma démarche.
Merci de votre aide.
Résolution d’équation suite
-
Anthony
-
SoS-Math(33)
- Messages : 3588
- Enregistré le : ven. 25 nov. 2016 14:24
Re: Résolution d’équation suite
Bonjour Anthony,
tu as fait la même erreur que précédemment, (2x-1)² = (2x-1)(2x-1) et non (2x-1)(2x+1)
SoS-math
tu as fait la même erreur que précédemment, (2x-1)² = (2x-1)(2x-1) et non (2x-1)(2x+1)
SoS-math
