Page 1 sur 1
La substitution
Posté : ven. 30 sept. 2016 17:49
par Sophie

- Capture.JPG (8.56 Kio) Vu 1385 fois
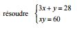
Bonjour, j'ai un exercice à faire pour lundi mais je bloque.. Je ne comprend pas comment fait-on puisque ici c'est "xy" et non "x+y".
Merci, de bien vouloir m'aider.
Re: La substitution
Posté : ven. 30 sept. 2016 20:17
par SoS-Math(9)
Bonsoir Sophie,
Ici, comme l'indique ton titre, il faut faire de la substitution ...
Dans la 1ère équation, on a : y = 28 - 3x.
Alors tu remplaces (tu substitues) y par cette expression dans la 2ème équation !
SoSMath.